中华人民共和国国家标准
油田注水工程设计规范
Code for design of oilfield water injection engineering
GB 50391-2014
主编部门:中国石油天然气集团公司
批准部门:中华人民共和国住房和城乡建设部
施行日期:2015年5月1日
中华人民共和国住房和城乡建设部公告
第528号
住房城乡建设部关于发布国家标准《油田注水工程设计规范》的公告
现批准《油田注水工程设计规范》为国家标准,编号为GB 50391-2014,自2015年5月1日起实施。其中,第4.4.4、5.2.1(3)、6.2.5条(款)为强制性条文,必须严格执行。原国家标准《油田注水工程设计规范》GB 50391-2006同时废止。
本规范由我部标准定额研究所组织中国计划出版社出版发行。
中华人民共和国住房和城乡建设部
2014年8月27日
前言
根据住房城乡建设部《关于印发<2012年工程建设标准规范制订修订计划>的通知》(建标[2012]5号)的要求,标准编制组经广泛调查研究,认真总结经验,吸收了近年来各油田在注水、注聚合物方面科研成果和设计经验,并在广泛征求意见的基础上,修订本规范。
本规范共分9章和1个附录,主要内容包括:总则、术语、基本规定、注水站、注水管道、配水间及井口、聚合物配制站、聚合物注入站、公用工程。
本规范修订的主要技术内容是:
1.更新本规范中所涉及的其他标准规范。
2.增加了滩海陆采油田注水工程设计的内容。
3.修订了聚合物配制站和聚合物注入站的相关内容。
4.修订了注水站和注水管道的相关内容。
5.增加了注水管道材质选用非金属管道时,所执行的相关规定。
本规范中以黑体字标志的条文为强制性条文,必须严格执行。
本规范由住房城乡建设部负责管理和对强制性条文的解释,由石油工程建设专业标准化委员会负责日常管理,由大庆油田工程有限公司负责具体技术内容的解释。在本规范执行过程中如有意见和建议,请寄送大庆油田工程有限公司技术质量部(地址:黑龙江省大庆市让胡路区西康路6号,邮政编码:163712),以供今后修订时参考。
本规范主编单位、参编单位、主要起草人和主要审查人:
主编单位:大庆油田工程有限公司
参编单位:中石化石油工程设计有限公司
中油辽河工程有限公司
西安长庆科技工程有限责任公司
主要起草人:庄清泉 刘洪锋 彭刚 宗大庆 杨清民 乔明 商永滨 王愔 李敬杰 郭胜利 蒋新 张德发 徐晶 王胜利 曹靖斌 樊继刚 赵卫民
主要审查人:刘德绪 王小林 张效羽 宋广通 杨琳 刘兆福 杨树鹰 田中央 陈文霞 何蓉云
1 总 则
1.0.1 为统一油田注水(包括注聚合物)工程设计标准和技术要求,做到技术先进、经济合理、安全可靠和运行、管理及维护方便,制定本规范。
1.0.2 本规范适用于陆上油田和滩海陆采油田注水工程以及气田采出水回注工程注入部分的新建、扩建和改建工程的设计。
1.0.3 油田注水工程设计除应符合本规范外,尚应符合国家现行有关标准的规定。
2 术 语
2.0.1 注水 water injection
为了保持油层压力、提高采收率而将水或聚合物水溶液注入油层。方式包括:正注、反注、合注、分质注、分压注、混注、轮注和间歇注水。
2.0.2 注水站 water injection stations
向注水井供给注入水和洗井水的站。
2.0.3 配水间 distributing rooms for water injection
接收注水站的来水,经控制、计量分配到所辖注水井的操作间。
2.0.4 注配间 water injection and distributing rooms
实现对来水升压,经控制、计量分配到所辖注水井的操作间。
2.0.5 增压间 water injection pump rooms
对原高压来水再升压的注水泵房。
2.0.6 井口压力 wellhead pressure
生产井或注入井井口的油压、套压的统称。
2.0.7 洗井 well-flushing
用水清除并携出注水井内沉积物和井壁截留杂质,以改善井的吸水性能的一项作业。具体方式有正洗和反洗。
2.0.8 正注 conventional water injection
注入水自注水井油管注入油层。
2.0.9 反注 inverse water injection
注入水自注水井油管与套管之间的环形空间注入油层。
2.0.10 分质注水 split water injection
在同一注水系统中,不同质的注入水分井或分层注入油层。
2.0.11 混注 mixed water injection
在同一注水系统中,不同质的注入水混合后注入油层。
2.0.12 轮注 alternate water injection
在同一注水系统中,不同质的注入水交替注入油层。
2.0.13 间歇注水 intermittent water injection
根据采油工艺要求或设备、环境等因素的限制,将注入水间断地注入油层。
2.0.14 分压注水 fractional-pressure water injection
在同一注水系统中,不同压力的注入水分井或分层注入油层。
2.0.15 合注 commingled water injection
注入水自井的油管及套管环形空间同时注入油层。
2.0.16 聚合物 polymer
油田注水用聚合物主要是相对分子量为800×104~2300×104的聚丙烯酰胺,有干粉、胶体及溶液等形态。
2.0.17 聚合物母液 primary polymer liquor
被水溶解成高浓度的聚合物溶液。
2.0.18 聚合物配制站 polymer preparing stations
将聚合物与水按比例混合,配制成聚合物母液的站。
2.0.19 聚合物注入站 polymer injection stations
将聚合物母液升压计量、用高压水稀释成目的液并分配到注入井的站。
2.0.20 前置液 prepositive liquid
为保护聚合物段塞(目的液)前缘不被吸附、稀释而注入油层的液体。
2.0.21 驱替液 displacing liquid
为保护聚合物段塞(目的液)后缘不被吸附、稀释而注入油层的液体。
2.0.22 目的液 purpose liquid
通过注入井到达目的层的聚合物溶液。
2.0.23 分散 dispersion
将聚合物干粉颗粒均匀地散布在一定量的水中,并使聚合物干粉颗粒充分润湿的过程。
2.0.24 熟化 aging
聚合物遇水后充分溶解的过程。
2.0.25 降解 degradation
在一定条件下,聚合物的聚合度降低的现象。包括机械降解、化学降解和生物降解。
2.0.26 滩海陆采油田 beach and alongshore oilfields
距岸较近、有路堤与岸边相连,并采用陆地油田开发方式的滩海油田。
3 基本规定
3.0.1 油田注水工程设计,应符合已批准的油田开发方案和总体规划或设计委托书的要求。工程建设规模的适应期宜为10年以上,可一次或分期建设。
3.0.2 注水流程应根据注水生产工艺、井网布置形式、水源种类及注水压力,并应与油气集输设计井站布局方式相结合,通过技术经济对比,优化确定。同时,应符合现行行业标准《油田地面工程设计节能技术规范》SY/T 6420的有关规定。
3.0.3 油田(区块)设计注水量,应按下式计算:
式中:Q——设计注水量(m3/d);
C——注水系数,可取1.1~1.2;
Q1——开发方案配注水量(m3/d);
Q2——洗井水量(m3/d),洗井周期按60d~100d计。注水站管辖井不足100口时,可按每天洗一口井的水量计算,洗井强度和洗井历时,各油田应按实际情况确定;若采用活动式洗井车洗井,不应计此水量。
3.0.4 油田注水用水应节约水资源,可选用油田采出水、工业及生活废水、地表水及地下水。
3.0.5 注入水水质应符合油田制定的水质标准。
3.0.6 注水管网的设计压力应按开发提供的井口注水压力与管道水头损失之和选取。
3.0.7 在一个油田内,当注水管网实行区块或层位分压注水时,宜按不同压力等级选择注水站内泵型,并应满足不同区块或层位注水压力和水量的要求。
3.0.8 当区块井间注入压力差大于1.5MPa时,宜采用分压注水方式。个别高压井宜采用局部增压注水方式。
3.0.9 聚合物注入工程方案,应按照油田开发方案规定的注入前置液及驱替液时间、注聚间隔时间、注入浓度、注入量及注入压力经技术经济比较确定。系统工程宜采用聚合物母液集中配制,目的液分散注入的工艺流程。
3.0.10 油田(区块)配制聚合物母液量,应按下式计算:
式中:Qv——配制聚合物母液量(m3/d);
qv——平均单井注入量(m3/d);
i——注入井数(口);
X1——配制母液的聚合物浓度(mg/L);
X2——注入液的聚合物平均浓度(mg/L)。
3.0.11 油田注水工程站场的布局应符合国家现行标准《石油天然气工程设计防火规范》GB 50183、《石油天然气工程总图设计规范》SY/T 0048和《建筑设计防火规范》GB 50016的有关规定。
3.0.12 湿陷性黄土地区建站设计应符合现行国家标准《湿陷性黄土地区建筑规范》GB 50025的有关规定。
3.0.13 偏远区块、试验区块及滩海陆采油田的注水设施宜采用橇装形式。
3.0.14 注水工程所选用的各类高压阀门,压力等级划分应符合现行国家标准《管道元件-PN(公称压力)的定义和选用》GB/T 1048的有关规定。
3.0.15 滩海陆采油田注水站选用的设备、阀门、仪表及管道与大气接触的表面应采取防止海洋性大气环境影响的保护措施。
4 注 水 站
4.1 站 场
4.1.1 注水站的选址应符合下列规定:
1 注水站的管辖范围应满足油田总体规划要求,并应符合交通、供电、供水及通信便利的要求。
2 注水站宜设在所辖注水系统负荷中心和注水压力较高或有特定要求的地区。
3 站址宜选在地势较高或缓坡地区,宜避开河滩、沼泽、局部低洼地或可能遭受水淹地区。对山区、丘陵及沙漠地区还应注意合理利用地形。
4 站址应少占或不占耕地、林地,注重保护生态环境。
5 注水站宜与变电所、水处理站及原油脱水站联合建站。
4.1.2 注水站平面布置应符合下列规定:
1 站内平面布置应紧凑合理,节约用地。根据规划发展的要求,场区可留有扩建余地或在泵房内预留机泵扩建位置。
2 冷却塔宜布置在注水站边缘,并处于全年最大频率风向的下风侧。
3 多座储水罐成排布置时,罐中心宜在一条直线上。
4 储水罐罐基础顶面中心标高,不宜低于注水泵房室内地坪标高。
5 注水站与变电所合建时,应符合下列规定:
1)变电所的主控室和高压开关室应靠近注水泵房。
2)变电所应位于站场边缘。
4.1.3 注水站宜设置下列建(构)筑物及设施:
1 注水泵房,内设注水泵机组、高压阀组。
2 储水罐。
3 辅助房间,包括配电室、值班室、化验室、维修间及库房。
4 废水回收设施。
4 注 水 站
4.1 站 场
4.1.1 注水站的选址应符合下列规定:
1 注水站的管辖范围应满足油田总体规划要求,并应符合交通、供电、供水及通信便利的要求。
2 注水站宜设在所辖注水系统负荷中心和注水压力较高或有特定要求的地区。
3 站址宜选在地势较高或缓坡地区,宜避开河滩、沼泽、局部低洼地或可能遭受水淹地区。对山区、丘陵及沙漠地区还应注意合理利用地形。
4 站址应少占或不占耕地、林地,注重保护生态环境。
5 注水站宜与变电所、水处理站及原油脱水站联合建站。
4.1.2 注水站平面布置应符合下列规定:
1 站内平面布置应紧凑合理,节约用地。根据规划发展的要求,场区可留有扩建余地或在泵房内预留机泵扩建位置。
2 冷却塔宜布置在注水站边缘,并处于全年最大频率风向的下风侧。
3 多座储水罐成排布置时,罐中心宜在一条直线上。
4 储水罐罐基础顶面中心标高,不宜低于注水泵房室内地坪标高。
5 注水站与变电所合建时,应符合下列规定:
1)变电所的主控室和高压开关室应靠近注水泵房。
2)变电所应位于站场边缘。
4.1.3 注水站宜设置下列建(构)筑物及设施:
1 注水泵房,内设注水泵机组、高压阀组。
2 储水罐。
3 辅助房间,包括配电室、值班室、化验室、维修间及库房。
4 废水回收设施。
4.2 工艺流程
4.2.1 注水站工艺流程应满足来水计量、储存、升压、水量分配的要求。
4.2.2 注水站应根据区块或层位水量、水质、压力的要求,采用混注或分质、分压注水流程。
4.2.3 溶解氧为主要腐蚀因素的注水站宜采用密闭流程。
4.2.4 来水稳定的小型注水设施可不设储水罐。
4.2.5 注水泵机组的选择、运行和调速应符合下列规定:
1 选用的注水泵应符合高效节能及长周期平稳运转的要求。
2 应根据注入水水质,合理选择注水泵过流部件材质。在累计运行10000h内,泵效下降不应大于1%。
3 当注水站不设调速装置且站外高压管网未与其他注水站连通时,注水泵设计宜选择不同排量的泵型组合。
4 离心式注水泵的运行特性应与管网总阻力特性相匹配。离心式注水泵注水的泵管压差宜控制在0.5MPa以下。
5 可选用成熟可靠的高效大排量往复式注水泵替代中小型低效离心注水泵。
6 当往复式注水泵机组电机配电为低压时,泵机组宜采用变频调速技术;配电为高压时,泵机组可采用其他成熟可靠的调速技术。
4.2.6 注水站应根据注水泵机组的运行条件设置润滑油系统和冷却水系统。
4.2.7 离心注水泵、注水电机、润滑油系统、冷却水系统,应设有运行参数监测及超限报警和联锁停机功能,并应具有下列保护功能:
1 注水泵入口压力检测、过低保护。
2 注水泵单机组润滑油供给压力检测、过低保护。
3 注水泵轴承温度检测、超温保护。
4 注水电机轴承温度检测、超温保护。
5 注水泵出口水温检测、超温保护。
6 注水电机定子风温检测、超温保护。
7 润滑油站供油压力检测、过低保护。
8 润滑油站油箱高低液位报警。
9 冷却水供给压力检测、过低保护。
4.2.8 往复式注水泵应具有下列保护功能:
1 泵入口压力检测、过低保护。
2 泵出口压力检测、超限保护。
3 泵液力端润滑油系统的油压、温度和油箱油位的超限保护。
4.2.9 往复式注水泵宜设喂水泵。
4.3 注水泵房
4.3.1 注水泵房的布置应符合下列规定:
1 注水泵机组的布置应满足设备的运行、维护、安装和检修的要求。
2 注水泵机组间突出部分净距应满足泵整体装拆搬运的要求。
3 注水泵电机非轴伸端与泵房墙壁间距离,应满足电机转子装拆搬运的要求。
4 室内润滑油设备、冷却水设备的布置宜与注水泵机组相协调。
5 注水泵房主通道宽度不宜小于1.5m。
6 泵房地坪至屋盖底部的净高,应满足下列规定:
1)不设桥吊的注水泵房净高不宜大于4.2m。
2)设有桥吊的注水泵房净高值应计算确定,不宜小于6.0m。
7 泵房通往室外的门不应少于2个,其中1个应能满足运输最大设备的要求。
8 辅助房间宜设置在注水泵房一端,且应与注水泵房总体布置相协调。
9 泵房与值班室相通的门、窗应按隔音门、隔音窗设计。泵房内值班室、配电室应按防噪声要求设计,并应符合现行国家标准《工业企业噪声控制设计规范》GB/T 50087的有关规定。
4.3.2 注水泵宜设备用泵,离心泵每运行1~4台时,可备用1台;往复泵每运行1~3台时,可备用1台。同时注入多种水质时,可共用备用泵。采用橇装形式的注水泵可不设备用泵。
4.3.3 离心泵进出水管道设计应符合下列规定:
1 泵进水管应有来水截断阀、流量计、过滤器、偏心大小头和压力表。
2 泵进水管流量计的精确度宜为1.0级。
3 泵吸水管流速宜符合下列规定:
1)直径小于250mm时,流速宜为0.8m/s~1.2m/s。
2)直径大于或等于250mm时,流速宜为1.0m/s~1.5m/s。
4 泵出水管应有排气阀、止回阀、回流阀、调节阀、出水截断阀和压力表。
5 泵出水管直径不应小于泵出口直径,流速不宜大于3.0m/s。
4.3.4 往复泵进出水管道设计应符合下列规定:
1 泵进水管应有来水截断阀和压力表,宜设管道过滤器。
2 泵进水管流速不宜大于1.0m/s。
3 泵出水管应有压力缓冲器、安全阀、止回阀、回流阀、截断阀和压力表。
4 泵出水管直径不应小于泵出口直径,流速不宜大于2.0m/s。
5 泵进出水管段应采取防振措施。
4.3.5 大中型注水泵泵房内应设有起重设备,起吊重量离心泵按单泵泵体重量计,往复泵按拆卸中最重部件计,起吊设备的选用应符合下列规定:
1 起吊重量不大于3t,可设移动吊架类的起吊行走简易吊具。
2 起吊重量大于3t,可设桥式手动吊车。
3 桥吊两侧行走轨道之一端应设置检修直爬梯。
4.3.6 润滑油供给系统设置应符合下列规定:
1 应满足供油、过滤、冷却、回油的要求。
2 离心泵注水站宜采用集中稀油润滑系统。
3 往复泵注水站可采用单个机组独立的润滑系统。
4 配有高压电机的机组,润滑油供给系统应设置事故油箱或油罐。
5 设高位油箱或油罐时,油箱或油罐高度应满足注水电机惰走时供油压力,油箱或油罐有效容积不应小于注水电机惰走时间内的供油量。
4.3.7 冷却水系统设置应符合下列规定:
1 应满足计量、加药、过滤、补水、排污的要求。
2 应根据注水站所在地区情况选择闭式或开式循环冷却水流程,风沙较大地区应采用闭式循环冷却水流程。
3 冷却水计量表的精确度宜为2.0级。
4 冷却水泵应设备用泵1台。
4.3.8 滩海陆采油田注水站管道安装应符合现行行业标准《滩海结构物上管网设计与施工技术规范》SY/T 4086中的有关规定。
4.4 储 水 罐
4.4.1 注水站设储水罐时,应按不同水质设置水罐。当注水来水为单一水质时,宜设2座;两种以上水质时,宜设3座。储水罐总有效容积可按注水站4h~6h设计水量计算。
4.4.2 滩海陆采油田注水站储水罐可设1座。
4.4.3 储水罐宜采用立式拱顶罐,每座水罐应设有梯子、透光孔、通气孔、人孔、清扫孔。顶部应设封闭式护栏。
4.4.4 注水用清水与污水严禁进入同一储水罐。当清水与污水两罐出水管相连通时,清水罐进水管口高度必须高于污水罐溢流液位0.3m以上。
4.4.5 储水罐进出水管端口应在罐内两侧相对布置。
4.4.6 储水罐应有液位检测与报警,高报警液位宜在距罐壁顶0.5m~1.0m处,低报警液位宜在罐出水管中心上方1.0m~1.5m处。
4.4.7 罐间阀组设计应符合下列规定:
1 不同水质的注水来水应分别计量,计量表的精确度为1.0级。
2 管道低架敷设时,应设钢平台。
3 室内设喂水泵时,应留有设备检修的通道。
4.4.8 储存含油污水的储水罐,罐顶宜设有浮油回收设施。
4.4.9 需密闭隔氧的储水罐,宜采用浮床(浮盘)隔氧措施。
4.5 注配间及增压间
4.5.1 注配及增压工艺应符合下列规定:
1 宜采用密闭流程,可不设洗井流程。
2 注水泵宜设变频调速装置。
3 注水泵宜采用离线备用。
4 增压泵增压值应根据来水压力和所辖注水井注水压力要求确定。
5 往复式注水泵的运行状态与报警保护功能以及工艺管道设计应符合本规范第4.2.8条、第4.3.4条的规定。
4.5.2 注配间及增压间的布置应符合下列规定:
1 注配间及增压间宜与油计量间合建。
2 注水泵与配水阀组宜设于同一房间内。
3 房间布置宜只设注配间和配电室,两房间可不设通行门,只设隔音观察窗。
5 注水管道
5.1 基本要求
5.1.1 对于滚动开发的油田,站外干管、支干管流通能力宜预留适当的富余量。
5.1.2 注水管道流速宜符合下列规定:
1 单井支管流速不宜大于1.2m/s。
2 注水干管、支干管流速不宜大于1.6m/s。
3 聚合物母液外输管流速不宜大于0.6m/s,目的液注入管流速不宜大于1.0m/s。
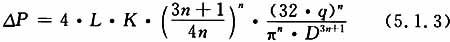
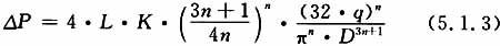
5.1.3 聚合物母液的管流阻力可按下式计算:
式中:△P——管道压降(Pa);
L——管线长度(m);
K——稠度系数(Pa·Sn),应通过实验确定;
n——流变行为指数,n<1,无量纲,应通过实验确定;
q——流量(m3/s);
D——管道内径(m)。
5.1.4 注水干管、支干管宜采用钢管。单井支管应根据介质、参数条件、运行维护要求和敷设条件经技术经济比选后确定选用金属或非金属管道。
5.1.5 注水工程非金属管道设计,应符合现行行业标准《非金属管道设计、施工及验收规范》系列SY/T 6769.1~SY/T 6769.4的有关规定。
5.1.6 注水管道所用钢管、管道组件的选择,应根据设计压力、设计温度、介质特性经技术经济比选后确定。
5.1.7 钢质注水管道管件的选用应符合现行行业标准《高压注水管路配件设计技术规定》SY/T 5270的有关规定,并应选用标准件。
5.1.8 滩海陆采油田注水管道设计应符合现行行业标准《滩海结构物上管网设计与施工技术规范》SY/T 4086的有关规定。
5 注水管道
5.1 基本要求
5.1.1 对于滚动开发的油田,站外干管、支干管流通能力宜预留适当的富余量。
5.1.2 注水管道流速宜符合下列规定:
1 单井支管流速不宜大于1.2m/s。
2 注水干管、支干管流速不宜大于1.6m/s。
3 聚合物母液外输管流速不宜大于0.6m/s,目的液注入管流速不宜大于1.0m/s。
5.1.3 聚合物母液的管流阻力可按下式计算:
式中:△P——管道压降(Pa);
L——管线长度(m);
K——稠度系数(Pa·Sn),应通过实验确定;
n——流变行为指数,n<1,无量纲,应通过实验确定;
q——流量(m3/s);
D——管道内径(m)。
5.1.4 注水干管、支干管宜采用钢管。单井支管应根据介质、参数条件、运行维护要求和敷设条件经技术经济比选后确定选用金属或非金属管道。
5.1.5 注水工程非金属管道设计,应符合现行行业标准《非金属管道设计、施工及验收规范》系列SY/T 6769.1~SY/T 6769.4的有关规定。
5.1.6 注水管道所用钢管、管道组件的选择,应根据设计压力、设计温度、介质特性经技术经济比选后确定。
5.1.7 钢质注水管道管件的选用应符合现行行业标准《高压注水管路配件设计技术规定》SY/T 5270的有关规定,并应选用标准件。
5.1.8 滩海陆采油田注水管道设计应符合现行行业标准《滩海结构物上管网设计与施工技术规范》SY/T 4086的有关规定。
5.2 管道敷设
5.2.1 注水管道敷设应符合下列规定:
1 注水管道宜埋地敷设。通过低洼地时,敷设方式应通过技术经济对比确定,位于沼泽、季节性积水地区、沙漠和戈壁荒原地区以及山地丘陵、黄土高原沟壑地区及其他特殊地段的注水管道,可视具体情况采用埋地、管堤、地面敷设或架空敷设。
2 地上敷设的注水管道应根据当地气候条件,确定是否采取防冻保温措施。
3 站外注水管道严禁从建(构)筑物基础下方穿过。
4 与建(构)筑物净距不应小于5m;当特殊情况小于5m时,注水管道应采取增强保护措施。
5 注水管道可沿油田专用公路路肩敷设。
6 注水管道与铁路平行敷设时,管道中心距铁路用地范围边界不宜小于3m。
7 注水管道沙漠地区埋地敷设时,应采取固沙措施。
8 滩海地区站外管道宜沿滩涂道路的管沟敷设。当敷设在道路以外时,应采取相应的稳管措施。
9 滩海陆采油田滩涂区域内的管道采用架空敷设时,管架应采用浅基础钢管架或桩基础管架,荷载计算应附加冰载荷或波浪载荷。
5.2.2 注水管道穿、跨越铁路、公路、水渠和河流的工程设计,应符合现行国家标准《油气输送管道穿越工程设计规范》GB 50423和《油气输送管道跨越工程设计规范》GB 50459的有关规定。
5.2.3 注水管道截断阀设置应符合下列规定:
1 辖6~10口注水井或2~3个多井配水间的注水干线两端宜设截断阀。
2 滩海地区站外管道串接多个平台(井台)时,应在各平台(井台)分支处下游的干管上设截断阀。
3 高压管道截断阀宜地面安装。
5.2.4 钢质注水干管、支干管在管道起点、折点、终点,以及每隔0.5km处宜设管道标志桩。
5.3 钢质管道耐压强度计算
5.3.1 注水用高压钢质管道的选用,应符合耐压强度计算的壁厚要求,并应按附加值列项,正确合理地确定管子的规格。
5.3.2 当公称压力不大于42MPa且直管计算厚度ts小于管子外径D0的1/6时,承受内压直管的厚度计算应符合下列规定:
1 直管的计算厚度应按下式计算:
式中:ts——直管计算厚度(mm);
P——设计压力(MPa);
D0——管子外径(mm);
[σ]t——在设计温度下材料的许用应力(MPa),见附录A;
Ej——焊接接头系数,无缝钢管取1;
Y——系数,取0.4。
2 直管的设计厚度应按下列公式计算:
tsd——直管设计厚度(mm);
ts——直管计算厚度(mm);
C——厚度附加量之和(mm);
C1——厚度减薄附加量,包括加工、开槽和螺纹深度及材料厚度负偏差(mm);
C2——腐蚀或磨蚀附加量(mm),对于轻微腐蚀环境可取1mm,对于较严重腐蚀环境应根据实际情况确定。对于滩海陆采注水用高压管道,应通过试验确定,无资料时淡水可取2mm,海水可取3mm。
E——系数,当ts<D0/6时,系数E值应按表5.3.2选取。
表5.3.2 系数E值
材质 | 无缝钢管壁厚(mm) | E值(%) |
碳素钢或合金钢 | ≤20 | 15 |
>20 | 12.5 |
6 配水间及井口
6.1 配 水 间
6.1.1 配水工艺应符合下列规定:
1 应满足注水井流量计量及调节的要求。
2 固定洗井时,应满足洗井水量计量及调节的要求。
3 注水井洗井水量可取15m3/h~30m3/h。
4 洗井水量大于注水流量计的量程时,应单独设置洗井水计量及调节设施。
5 流量计的精确度宜为2.0级。
6 根据需要可设水量自动调节和数据远传功能。
6.1.2 配水间的布置应符合下列规定:
1 多井配水间宜与油计量间合建。
2 配水设施设于室内时,室内人行操作通道应满足阀门操作、巡检和维护的要求。配水间采用砖混房间时,室内人行操作通道净宽不应小于0.8m;配水间采用橇装形式时,室内人行操作通道净宽不应小于0.5m。
6 配水间及井口
6.1 配 水 间
6.1.1 配水工艺应符合下列规定:
1 应满足注水井流量计量及调节的要求。
2 固定洗井时,应满足洗井水量计量及调节的要求。
3 注水井洗井水量可取15m3/h~30m3/h。
4 洗井水量大于注水流量计的量程时,应单独设置洗井水计量及调节设施。
5 流量计的精确度宜为2.0级。
6 根据需要可设水量自动调节和数据远传功能。
6.1.2 配水间的布置应符合下列规定:
1 多井配水间宜与油计量间合建。
2 配水设施设于室内时,室内人行操作通道应满足阀门操作、巡检和维护的要求。配水间采用砖混房间时,室内人行操作通道净宽不应小于0.8m;配水间采用橇装形式时,室内人行操作通道净宽不应小于0.5m。
6.2 注水井口
6.2.1 注水井口设计应满足井的正注、反注、合注、正洗、反洗、取样、测试及方便井下作业的要求。
6.2.2 注水井口应设有截断阀、油压表、套压表,宜设有来水止回阀。注入井口还应设取样阀。
6.2.3 单井配水间或阀组与井口宜在同一井场内布置,两者间距不宜小于10m。
6.2.4 注水井口宜露天设置,注水井场的标高和面积应能满足生产管理和井下作业的需要。
6.2.5 处于人口稠密区的注水井口应采取防止人员靠近的防护措施。
7 聚合物配制站
7.1 站 场
7.1.1 配制站的选址应符合下列规定:
1 配制站的管辖范围应满足油田总体规划要求,并应符合交通、供电、供水及通信便利的要求。
2 站址应选择在所辖注入站的负荷中心。
3 应按所辖注聚油田的开发次序统筹布置,站址选择应兼顾各阶段注入站位置。
7.1.2 配制站的平面布置应符合下列规定:
1 熟化罐应靠近母液外输泵房布置。
2 聚合物料库应靠近配制间布置。
3 熟化罐基础标高,应满足外输泵静压供液的要求。
7.1.3 配制站宜设置下列建(构)筑物及设施:
1 配制间及料库,内设分散装置、供水泵、防粉尘飞溅和除尘设施。
2 熟化罐和储水罐。
3 外输泵房,内设外输泵、过滤器、外输阀组。
4 辅助房间,包括配电间、值班室、化验室、维修间、库房、淋浴室及卫生间。
5 废液回收设施。
7 聚合物配制站
7.1 站 场
7.1.1 配制站的选址应符合下列规定:
1 配制站的管辖范围应满足油田总体规划要求,并应符合交通、供电、供水及通信便利的要求。
2 站址应选择在所辖注入站的负荷中心。
3 应按所辖注聚油田的开发次序统筹布置,站址选择应兼顾各阶段注入站位置。
7.1.2 配制站的平面布置应符合下列规定:
1 熟化罐应靠近母液外输泵房布置。
2 聚合物料库应靠近配制间布置。
3 熟化罐基础标高,应满足外输泵静压供液的要求。
7.1.3 配制站宜设置下列建(构)筑物及设施:
1 配制间及料库,内设分散装置、供水泵、防粉尘飞溅和除尘设施。
2 熟化罐和储水罐。
3 外输泵房,内设外输泵、过滤器、外输阀组。
4 辅助房间,包括配电间、值班室、化验室、维修间、库房、淋浴室及卫生间。
5 废液回收设施。
7.2 工艺流程
7.2.1 聚合物配制站工艺流程应满足聚合物分散、熟化、过滤、外输的要求。
7.2.2 配制过程中应减少聚合物溶液的黏度损失,并应符合以下规定:
1 与聚合物母液接触的部分,应使用不锈钢、玻璃钢或其他性能稳定的材料。
2 应使用低剪切的泵、过滤器、搅拌器、阀门、流量计。
3 聚合物母液应采用减缩形式由干管分流到支管。
4 聚合物母液不得采取阀门控制流量。
7.2.3 配制用水应满足开发方案的要求。水过滤器或其他水处理设施的设置应根据水源特性及水质要求确定。
7.2.4 聚合物的分散和熟化过程应采取全自动控制。分散装置、熟化罐、外输泵、过滤器应设置状态监测及保护功能。
7.2.5 聚合物母液过滤精度应根据开发方案的要求确定。
7.2.6 外输母液流量宜计量,流量计的精确度宜为1.0级。
7.2.7 熟化罐出口、外输泵(喂入泵)进出口、过滤器进出口应设取样口。
7.2.8 配制母液浓度不宜小于5000mg/L,浓度最大允许误差应为±5%。
7.3 配制间及料库
7.3.1 配制间及料库的布置应符合下列规定:
1 配制间主要通道宽度不宜小于1.5m。
2 配制间内设水过滤器时,宜成排布置。水过滤器头盖距地坪高度大于1.5m时,应设操作平台。
3 料库的面积应满足聚合物干粉运输、检验、储存的要求。
4 料库应设置吊车,大型站可按2台设置。吊运750kg干粉袋的吊车,可采用起重量2t桥吊。
5 配制间及料库的净高,应满足下列规定:
1)可堆放3层聚合物干粉袋。
2)应满足聚合物干粉袋吊运、投料的要求。
6 料库的进车通道坡度不宜大于1:10,并应做防滑处理。
7 料库内存放聚合物干粉的区域,地坪应高于配制间地坪50mm~100mm,且周围应设置防倒塌围栏。
8 配制间大门应满足设备进出的要求,料库大门应满足运料车进出的要求。
7.3.2 聚合物的储存应符合以下规定:
1 配制站的库存量应根据聚合物干粉的运输距离、运输条件和具体检验标准综合确定,库存量宜为7d~15d聚合物干粉用量。
2 聚合物干粉的包装,宜采用750kg大袋包装。
3 弥散性强的粉料宜采取自动密闭投料。
7.3.3 聚合物干粉分散装置应符合下列规定:
1 分散应均匀,不应有鱼眼及结块。
2 干粉给料、给水、搅拌器启停、阀门开关、输送泵启停应实现过程自动化。每个单元亦可手动操作。
3 料斗应设筛网及防粉尘外溅设施。人工投料口应设吸尘和干粉回收设施,粉尘不应直接外排场区。
4 给料、给水应计量。给料计量衡器的最大允许误差应在±2%以内,给水计量表的精确度为1.0级。
5 在单台分散装置检修时,如不影响配制站聚合物母液配制能力,可不设备用装置。如影响配制站聚合物母液配制能力,应按运行1~3台设1台备用。
6 在特别潮湿地区,料斗宜采取防潮湿及防干粉板结的措施。
7.3.4 分散装置的供水泵应符合下列规定:
1 供水泵与分散装置宜采取一对一供水方式。
2 供水泵的排量与压力应满足分散装置需要。
3 供水泵应与分散装置联动,且宜设软启动功能。
7.3.5 配制间及料库应根据需要采取防尘、防滑措施。
7.4 熟 化 罐
7.4.1 熟化时间应按照不同的聚合物、水质、温度、搅拌条件经试验确定,宜为2h~3h。
7.4.2 聚合物熟化罐宜采用立式拱顶罐,罐体宜采用玻璃钢材质,每座罐应设有梯子、透光孔、通气孔、人孔、清扫孔、罐顶封闭式护栏、搅拌器巡检用平台。
7.4.3 熟化罐搅拌器的形式和参数应根据聚合物的分子量及类型、母液浓度、水质、水温、罐尺寸形状确定。
7.4.4 熟化罐搅拌器启停、熟化罐进出液阀门开关应全部实现过程自动化,每个单元亦可手动操作。
7.4.5 熟化罐的容积及数量应根据下列因素确定:
1 满足配制站的最大配制母液能力要求。
2 配制聚合物需要的熟化时间。
3 进出液所需时间。
7.4.6 熟化罐每运行2~5座可设1座备用。
7.4.7 熟化罐罐体应根据当地气象条件确定是否采取伴热保温。
7.5 外输泵房
7.5.1 外输泵房的布置应符合下列规定:
1 外输泵前主要通道宽度不宜小于1.5m。
2 泵组间净距应满足设备整体装拆的需要。
3 单螺杆泵出口处应留有定子拆装、检修的空间。
4 聚合物过滤器宜成排布置,头盖距地坪高度大于1.5m时,应设操作平台。
5 外输泵房宜设置吊车,起重量应满足外输泵检修和更换滤袋的要求。
6 泵房净高应满足聚合物过滤器更换滤袋的要求。
7 外输泵房大门应满足设备进出的要求。
7.5.2 外输(喂入)泵应符合下列规定:
1 在排量压力允许条件下,宜采用低剪切的单螺杆泵,且泵速不宜大于300rpm。当排量压力超出单螺杆泵最大允许条件时,可采用低剪切的双螺杆泵。
2 外输泵的排量及数量应根据下列因素确定:
1)聚合物类型及母液浓度。
2)配制站所辖注入站规模。
3 外输泵进、出口管线应设下列设施:
1)泵进口应安装截断阀、过滤器、取样阀、压力显示及低压联锁保护。
2)泵出口应安装安全阀、止回阀、截断阀、流量计、取样阀、压力显示及高压联锁保护。流量计可置于计量外输阀组处。
4 外输泵直接给注入泵灌注供液时,外输泵应采取变频恒压闭环控制。
5 外输泵宜按规格设在线备用泵。
6 单螺杆泵安装应满足更换定子的需要。
7.5.3 聚合物母液过滤器应符合下列规定:
1 应选用低剪切过滤器。
2 可采用粗、精二级过滤方式,精滤器过滤精度的设置应根据油层对注入液的要求确定。
3 粗滤器起始压降应小于0.02MPa,精滤器起始压降应小于0.05MPa。
4 聚合物母液过滤器与外输泵宜采取一对一配置方式。
5 过滤器应设置顶部放空阀及底部排污阀。
6 粗、精过滤器应分别设置压差计及超压差报警。
8 聚合物注入站
8.1 站 场
8.1.1 注入站的选址应符合下列规定:
1 注入站的辖井范围应满足油田总体规划要求,并应符合交通、供电、供水及通信便利的要求。
2 应按所辖注入井的位置,站址选择在负荷中心。
3 应与所辖注入井的开发次序统筹布置,站址选择应兼顾各阶段注入井位置。
8.1.2 注入站的平面布置应符合下列规定:
1 对于寒冷地区,聚合物母液储罐宜采用泵房内设置高架的方式。
2 高架聚合物母液储罐最低液位与注入泵入口的高差应满足注入泵静压供液的要求,不宜低于2.5m。
8.1.3 注入站宜设置下列建(构)筑物及设施:
1 注入泵房,内设注入泵、聚合物母液储罐、高压混配阀组。
2 辅助房间,包括配电间、值班室、化验室、维修间、库房及卫生间。
3 废液回收设施。
8 聚合物注入站
8.1 站 场
8.1.1 注入站的选址应符合下列规定:
1 注入站的辖井范围应满足油田总体规划要求,并应符合交通、供电、供水及通信便利的要求。
2 应按所辖注入井的位置,站址选择在负荷中心。
3 应与所辖注入井的开发次序统筹布置,站址选择应兼顾各阶段注入井位置。
8.1.2 注入站的平面布置应符合下列规定:
1 对于寒冷地区,聚合物母液储罐宜采用泵房内设置高架的方式。
2 高架聚合物母液储罐最低液位与注入泵入口的高差应满足注入泵静压供液的要求,不宜低于2.5m。
8.1.3 注入站宜设置下列建(构)筑物及设施:
1 注入泵房,内设注入泵、聚合物母液储罐、高压混配阀组。
2 辅助房间,包括配电间、值班室、化验室、维修间、库房及卫生间。
3 废液回收设施。
8.2 工艺流程
8.2.1 聚合物注入站工艺流程应满足聚合物母液储存、升压、计量、与高压水混合的要求。
8.2.2 注入过程中应减少聚合物溶液的黏度损失,并应符合本规范第7.2.2条的规定。
8.2.3 采用单泵单井或一泵多井流程应根据注入井数量、注入压力差异情况确定。注入井数超过20口宜采用一泵多井流程。
8.2.4 注入泵供液方式宜采取高架储罐供液方式,储罐有效容积可按1h~2h母液用量计算。亦可采取泵灌注供液方式。
8.2.5 注入泵应设置低压、高压联锁保护,聚合物母液与高压水的混配应采取自动控制方式。
8.2.6 单井注入浓度及注入量的最大允许误差均应在±5%以内。
8.2.7 储罐进出口、注入泵进出口、目的液出站口应设取样口。
8.2.8 混配阀组除应满足所辖注入井的混配要求以外,还应根据具体工况确定是否设置洗井及调剖工艺设施。
8.3 注入泵房
8.3.1 注入泵房的布置应符合下列规定:
1 注入泵前主要通道宽度不宜小于1.5m。
2 泵组间净距应满足设备整体装拆的需要。
3 高压混配阀组宜成排布置,人行操作通道应满足阀门操作的需要。
4 辅助房间宜设在注入泵房一端。
5 可根据需要预留调剖设施的空间。
6 泵房及值班室的要求应符合本规范第4.3.1条第9款的规定。
7 注入泵房大门应满足设备进出的要求。
8.3.2 注入泵应符合下列规定:
1 应选用低剪切高压往复泵。
2 应采取调节排量的措施,宜采取变频调速控制。
3 额定压力应满足工程适应期所辖油田注入井完成配注的最高压力需求,并应留有井口压力上升2MPa~3MPa的余地。
4 应易于放出泵腔内部所存空气。
5 采取单泵单井流程时,注入泵宜采用离线备用方式,每运行8~10台设置1台备用;采取一泵多井流程时,注入泵应采用在线备用方式,每运行4~6台设置1台备用。
8.3.3 注入泵进出液管道设计应符合下列规定:
1 泵供液干管应设集气包及放气阀。
2 泵进液管应设截断阀、过滤器、取样阀、压力显示及低压联锁保护。
3 采取喂液泵或外输泵给注入泵灌注供液时,供液干管流速应小于0.2m/s,注入泵入口管流速应小于0.5m/s。
4 采取高架母液储罐或储箱给注入泵静压供液时,供液干管流速应小于0.1m/s,注入泵入口管流速应小于0.5m/s。
5 泵出液管应设缓冲器、安全阀、回流阀、止回阀、截断阀、流量计、取样阀、压力显示及高压联锁保护。
6 泵出液管流量计的精确度宜为1.0级,且宜与止回阀一起置于混配阀组处。
7 泵出液管流速应小于1.0m/s。
8.3.4 高压混配阀组设计应符合下列规定:
1 采取一泵多井注入工艺时,宜设置2~3个高压母液汇管。单井母液管线上应设流量调节器、止回阀、流量计。流量调节器应满足低剪切要求,并应采用自动流量调节控制方式。
2 单井的高压供水管线上应设截断阀、流量计、电动调节阀、压力表。流量计的精确度宜为1.0级。
3 高压水流量调节宜采取自动控制方式。
4 高压母液和高压水管混合后应设置适用于高黏液体的低剪切静态混合器,混合不均匀系数应小于5%。
9 公用工程
9.1 供 配 电
9.1.1 负荷分级宜符合下列规定:
1 6(10)kV电机的注水站、聚合物配制站宜按二级负荷供电。
2 0.4kV电机的注水站、聚合物注入站、注配间、增压间宜按三级负荷供电。
9.1.2 供电宜符合下列规定:
1 二级负荷宜采用两回线路供电。当采用两回线路供电确有困难时,在工艺上设有停电安全措施或有备用电源时,可用一回线路供电。
2 三级负荷宜采用单回路单变压器供电,与油田其他站相邻布置时,也可与其他负荷共用变压器。
9.1.3 电源应符合下列规定:
1 采用6(10)kV电机的注水站宜设置110(35)/6(10)kV变电所或6(10)kV开闭所,该变、配电所可同时为油气田其他站负荷供电。
2 注入站场供电电压应根据电源条件、用电负荷分布情况、油田其他站场布置情况综合确定。
9.1.4 站内变压器的选择应符合下列规定:
1 有两个电源时,宜选用两台变压器,单台容量应能满足全部二级负荷的供电。仅有一个电源时,宜选用一台变压器,变压器容量应满足全部计算负荷配电。
2 变压器单台容量不宜大于1600kV·A。
9.1.5 各类站场均应设置无功补偿装置,补偿后的功率因素不宜低于0.9。
9.1.6 滩海陆采油田配电应符合现行行业标准《滩海石油工程电气技术规范》SY/T 4089及《滩海石油工程发电设施技术规范》SY/T 4090的有关规定。
9 公用工程
9.1 供 配 电
9.1.1 负荷分级宜符合下列规定:
1 6(10)kV电机的注水站、聚合物配制站宜按二级负荷供电。
2 0.4kV电机的注水站、聚合物注入站、注配间、增压间宜按三级负荷供电。
9.1.2 供电宜符合下列规定:
1 二级负荷宜采用两回线路供电。当采用两回线路供电确有困难时,在工艺上设有停电安全措施或有备用电源时,可用一回线路供电。
2 三级负荷宜采用单回路单变压器供电,与油田其他站相邻布置时,也可与其他负荷共用变压器。
9.1.3 电源应符合下列规定:
1 采用6(10)kV电机的注水站宜设置110(35)/6(10)kV变电所或6(10)kV开闭所,该变、配电所可同时为油气田其他站负荷供电。
2 注入站场供电电压应根据电源条件、用电负荷分布情况、油田其他站场布置情况综合确定。
9.1.4 站内变压器的选择应符合下列规定:
1 有两个电源时,宜选用两台变压器,单台容量应能满足全部二级负荷的供电。仅有一个电源时,宜选用一台变压器,变压器容量应满足全部计算负荷配电。
2 变压器单台容量不宜大于1600kV·A。
9.1.5 各类站场均应设置无功补偿装置,补偿后的功率因素不宜低于0.9。
9.1.6 滩海陆采油田配电应符合现行行业标准《滩海石油工程电气技术规范》SY/T 4089及《滩海石油工程发电设施技术规范》SY/T 4090的有关规定。
9.2 仪表及监控
9.2.1 油田注水工程仪表及监控设计应符合现行国家标准《油气田及管道工程计算机控制系统设计规范》GB/T 50823和《油气田及管道仪表控制系统设计规范》GB/T 50892的有关规定。
9.2.2 容纳聚合物溶液的容器应设置用于连续指示报警的液位检测仪表及高低报警或联锁的液位开关。
9.2.3 油田注水工程的仪表选型应符合下列规定:
1 对黏稠、易堵、腐蚀的测量介质,应选用与介质性质相适应的仪表或采取隔离措施。
2 流量仪表的信号传输宜采用串行通信方式。
3 与聚合物接触的检测仪表、控制阀,不应使用铝、铜、铁及其他对聚合物产生降解作用的材料,宜采用不锈钢、聚四氟乙烯及其他不对聚合物产生降解作用的材料。
4 聚合物熟化罐及储罐液位的连续检测,宜采用非接触式物位仪表、射频导纳仪表或带毛细管和远传法兰的静压式变送器。报警限值检测,可采用音叉式液位开关、超声波液位开关或其他适用于高黏度介质的液位开关。
5 熟化罐或聚合物储罐进出口的控制阀,宜选蝶阀。其材质应为不锈钢或带内衬的碳钢阀。
6 用于聚合物溶液调节的阀门应采用低剪切形式的阀门。
7 压力仪表宜采用二线制、总线或无线压力变送器。
8 聚合物水溶液的流量检测宜采用电磁流量计。
9 橇装设备上的仪表设计应符合本规范有关条款的规定。
9.2.4 油田注水工程的橇装或成套设备配套的控制系统应具有开放的标准的通信接口。
9.2.5 油田注水工程的仪表安装设计宜符合下列规定:
1 仪表及自控阀门宜避免安装在振动场合;不可避免时,应采取耐振、抗振措施。
2 安装在高压、振动场合的压力仪表宜采用对焊或卡套式引压管安装。引压管路的设计压力的安全系数应按4:1选取。引压管路应以0.5m的间隔加以固定。
3 非接触式液位测量仪表户外安装时,应采取避免结霜的措施。
4 插入式液位仪表应在容器内部做好固定。
5 室外电缆敷设宜采用直埋方式;室内电缆敷设宜采用电缆桥架方式。
6 仪表与工艺的接口宜采用法兰连接。
7 控制室内的机柜、操作台应远离强电磁干扰。
8 与电力控制柜相连的开关量信号宜采用继电器隔离。
9.2.6 滩海陆采油田注水站仪表监控的设计应符合下列规定:
1 滩海陆采油田注水站仪表控制系统的设计和仪表及计算机控制系统的供电、供气及接地设计,应符合现行行业标准《滩海石油工程仪表与自动控制技术规范》SY/T 0310的有关规定。
2 滩海陆采油田注水站无人驻守时,站区、厂房和泵房内应设视频、火灾监视系统;关键运行参数(包括流量、压力、浓度)应采取自动调控;重要机泵设备除应设置现场联锁保护外,还应设远程停机控制系统。
3 滩海陆采油田注水站选用的检测仪表应考虑海洋性大气环境的影响,应满足防腐、防潮、防盐雾和防霉菌的要求。
9.3 采暖与通风
9.3.1 站场内建筑的暖通设计,应符合现行国家标准《采暖通风与空气调节设计规范》GB 50019的有关规定。
9.3.2 站场内各类房间的冬季采暖室内计算温度,宜符合表9.3.2的规定。
表9.3.2 站场内各类房间的冬季采暖室内计算温度(℃)
9.3.3 采暖热媒宜优先采用热水,系统形式宜为同程式。
9.3.4 对于远离集中热源的独立建筑宜采用电采暖。
9.3.5 放置电力、自控仪表盘柜的场所,宜采用电采暖。
9.3.6 站场内房间的通风方式及换气次数,宜符合表9.3.6的规定。
表9.3.6 站场内房间的通风方式及换气次数(h)
厂房名称 | 通风要求 | 通风方式 | 换气次数 |
聚合物配制间、料库 | 排除有害气体 | 有组织的自然通风或 机械通风或联合通风 | 6~8 |
加药间 | 排除有害气体 | 机械通风 | 6~8 |
9.3.7 化验室通风应采用局部排风,应设置具有耐腐蚀性能的通风柜,通风柜的吸入速度宜为0.4m/s~0.5m/s。
9.3.8 放散粉尘的生产工艺过程,设备本体应采用机械除尘或静电除尘。
9.3.9 滩海陆采油田注水站采用采暖通风达不到室内温度、湿度及洁净度的要求时,应设置空气调节装置。
9.4 站场道路
9.4.1 站场道路的设计应满足生产管理、维修维护和消防时通车的需要。站场内道路的路面宽度,可按表9.4.1选用。每个站场可根据生产规模和交通运输的需要,全部或部分设置各类道路。
注水站或注入站只设单行车道时,应设回车道。
表9.4.1 站场内道路的路面宽度(m)
注:公路型进站路的路肩宽度宜为1.0m或1.5m,受地形限制的困难路段可减为0.5m或0.75m。
9.4.2 进站路宜采用公路型道路,站内路宜采用城市型道路。
9.4.3 配制站道路宜采用高级路面,注水站、注入站道路可采用次高级路面,消防路宜采用砂石路面或混凝土联锁型路面砖路面。注水站与转油站或变电所联合建站时道路可采用高级路面。
9.4.4 站场内道路计算行车速度宜为15km/h。进站路计算行车速度可为20km/h。
9.4.5 站场内道路最小圆曲线半径,当行驶单辆汽车时,不应小于15m,当行驶拖挂车时,不应小于20m。纵坡度不宜大于6%,竖向高差大的路段不应大于8%。相邻纵坡差小于或等于2%的站场内道路变坡点及厂房出入口道路可不设竖曲线。站场内道路可不设超高或加宽。交叉口路面内边缘转弯半径宜为9m~12m。
9.4.6 站场内道路的停车视距不应小于15m,会车视距不应小于30m。
9.4.7 配制站汽车装卸场地宜采用水泥混凝土场地,场地坡度宜为0.5%~1.0%。
9.5 防腐保温及阴极保护
9.5.1 埋地钢质管道的防腐及阴极保护设计应符合现行国家标准《钢质管道外腐蚀控制规范》GB 21447和《埋地钢质管道阴极保护技术规范》GB 21448的有关规定。
9.5.2 钢质立式储罐的防腐设计应符合现行行业标准《钢质储罐液体涂料内防腐层技术标准》SY/T 0319和《钢制储罐外防腐层技术标准》SY/T 0320的有关规定。
9.5.3 钢质立式储罐的内外壁阴极保护设计应符合国家现行标准《钢质石油储罐防腐蚀工程技术规范》GB 50393和《钢质水罐内壁阴极保护技术规范》SY/T 6536的有关规定。
9.5.4 钢质储罐、容器、管道及附件与聚合物水溶液相接触的表面,应采取内涂层防腐措施。
9.5.5 储罐及管道保温应符合现行国家标准《工业设备及管道绝热工程设计规范》GB 50264的有关规定。
9.5.6 站场埋地管道及立式储罐宜联合采用区域性阴极保护。
9.5.7 阴极保护区域与非保护区域之间的绝缘应符合现行国家标准《埋地钢质管道阴极保护技术规范》GB 21448的有关规定,在绝缘装置处应采取防高压电涌或强电冲击保护。
9.5.8 当储罐或站场埋地设施实施阴极保护时,与阴极保护有电连接的电力系统接地装置不应采用比碳钢电位正的接地材料。
9.5.9 要求保温的法兰、阀门、人孔需要拆卸检修的部位,可制成金属或非金属盒式保温结构。
9.5.10 处于直流电气化铁路、阴极保护系统及其他直流干扰源附近的管道,应按现行国家标准《埋地钢质管道直流干扰防护技术标准》SY/T 0017的有关规定进行直流调查测试及排流设计。
9.5.11 当埋地管道与电气化铁路、110kV及以上高压交流输电线路距离小于1000m时,应根据现行国家标准《埋地钢质管道交流干扰防护技术标准》GB/T 50698的有关规定确定干扰防护措施。
9.5.12 滩海陆采油田防腐工程设计应符合现行行业标准《滩海石油工程防腐蚀技术规范》SY/T 4091的有关规定。
9.5.13 滩海陆采油田保温工程设计应符合现行行业标准《滩海石油工程保温技术规范》SY/T 4092的有关规定。
附录A 常用管道材料许用应力
表A 常用管道材料许用应力
本规范用词说明
1 为便于在执行本规范条文时区别对待,对要求严格程度不同的用词说明如下:
1)表示很严格,非这样做不可的:
正面词采用“必须”,反面词采用“严禁”;
2)表示严格,在正常情况下均应这样做的:
正面词采用“应”,反面词采用“不应”或“不得”;
3)表示允许稍有选择,在条件许可时首先应这样做的:
正面词采用“宜”,反面词采用“不宜”;
4)表示有选择,在一定条件下可以这样做的,采用“可”。
2 条文中指明应按其他有关标准执行的写法为:“应符合……的规定”或“应按……执行”。
引用标准名录
《管道元件-PN(公称压力)的定义和选用》GB/T 1048
《钢质管道外腐蚀控制规范》GB 21447
《埋地钢质管道阴极保护技术规范》GB 21448
《建筑设计防火规范》GB 50016
《采暖通风与空气调节设计规范》GB 50019
《湿陷性黄土地区建筑规范》GB 50025
《工业企业噪声控制设计规范》GB/T 50087
《石油天然气工程设计防火规范》GB 50183
《工业设备及管道绝热工程设计规范》GB 50264
《钢质石油储罐防腐蚀工程技术规范》GB 50393
《油气输送管道穿越工程设计规范》GB 50423
《油气输送管道跨越工程设计规范》GB 50459
《埋地钢质管道交流干扰防护技术标准》GB/T 50698
《油气田及管道工程计算机控制系统设计规范》GB/T 50823
《油气田及管道仪表控制系统设计规范》GB/T 50892
《埋地钢质管道直流干扰防护技术标准》SY/T 0017
《石油天然气工程总图设计规范》SY/T 0048
《滩海石油工程仪表与自动控制技术规范》SY/T 0310
《钢质储罐液体涂料内防腐层技术标准》SY/T 0319
《钢制储罐外防腐层技术标准》SY/T 0320
《滩海结构物上管网设计与施工技术规范》SY/T 4086
《滩海石油工程电气技术规范》SY/T 4089
《滩海石油工程发电设施技术规范》SY/T 4090
《滩海石油工程防腐蚀技术规范》SY/T 4091
《滩海石油工程保温技术规范》SY/T 4092
《高压注水管路配件设计技术规定》SY/T 5270
《油田地面工程设计节能技术规范》SY/T 6420
《钢质水罐内壁阴极保护技术规范》SY/T 6536
《非金属管道设计、施工及验收规范 第1部分:高压玻璃纤维管线管》SY/T 6769.1
《非金属管道设计、施工及验收规范 第2部分:钢骨架聚乙烯塑料复合管》SY/T 6769.2
《非金属管道设计、施工及验收规范 第3部分:塑料合金防腐蚀复合管》SY/T 6769.3
《非金属管道设计、施工及验收规范 第4部分:钢骨架增强塑料复合连续管》SY/T 6769.4
中华人民共和国国家标准
油田注水工程设计规范
GB 50391-2014
条文说明
修订说明
《油田注水工程设计规范》GB 50391-2014,经住房城乡建设部2014年8月27日以第528号公告批准发布。
本规范是在《油田注水工程设计规范》GB 50391-2006的基础上修订而成,上一版的主编单位是大庆油田工程有限公司,参编单位是胜利油田胜利工程设计咨询有限责任公司、中油辽河工程有限公司,主要起草人员是黄远其、彭刚、杨兆麟、宗大庆、王小林、杜树彬、徐雅娟、庄清泉、宫德河、张德发、张铁树、王会军、邢爱忠、张祥友、高金庆。本次修订的主要技术内容是:1.更新本规范中所涉及的其他标准规范;2.增加了滩海陆采油田注水工程设计的内容;3.修订了聚合物配制站和聚合物注入站的相关内容;4.修订了注水站和注水管道的相关内容;5.增加了注水管道材质选用非金属管道时,所执行的相关规定。
为便于广大设计、施工、科研、学校等单位有关人员在使用本规范时能正确理解和执行条文规定,《油田注水工程设计规范》编制组按章、节、条顺序编制了本规范的条文说明,对条文规定的目的、依据以及执行中需注意的有关事项进行了说明,还着重对强制性条文的强制性理由作了解释。但是,本条文说明不具备与标准正文同等的法律效力,仅供使用者作为理解和把握规范规定的参考。
1 总 则
1.0.1 陆上油田注水开采已有50余年历史,但注聚合物开采才只有10多年历史,随着油田的开发,专业技术发展很快,这就需要有一个统一的工程设计标准和技术要求,使设计者对油田注水(包括注聚合物)工程的基本概念、理论和具体设计有一个明晰思路和可遵循的标准,这就是制定本规范的目的。
1.0.2 本条说明了本规范的适用范围,本规范不适用于海上油田注水工程设计。
2 术 语
本章所列术语,其定义及范围,仅适用于本规范。
本章所列术语,大多数是参照国家现行标准《石油工程建设基本术语》SY/T 4039的术语含义确定的。
3 基本规定
3.0.1 油田注水工程设计分为总体规划设计(即方案设计)和工程设计(即详细设计),这里指的工程设计规模,是在总体规划设计已完成且被批准实施条件下确定的,工程设计一般不再考虑适应年限的问题。只有在方案设计和工程设计合一进行情况下,才进行计算和技术参数的确定。
3.0.7 当注水管网实行区块或层位分压注水时,各压力系统间的压差不应小于泵的单级扬程。
3.0.9 聚合物母液集中配制,目的液分散注入,是由一座配制站集中配制聚合物,向若干注入站输送聚合物母液,在注入站中注水站来的高压水与聚合物母液混合稀释成目的液的工艺。
根据大庆油田的经验,面积较大的油田或区块,其母液用量较大,注入井较多,聚合物母液集中配制,可提高规模效应,大幅降低聚合物母液配制的投资。注聚合物时间一般为二至三年,而配制站则可工作几十年,供给第一批注入站母液之后,再供给第二批、第三批……注入站的母液。只有这样安排,才能充分发挥注聚工程的能力。这必须与地区开发次序统一安排。
对于面积较小的试验区块或油田,其母液用量较小,注入井较少,采用聚合物配制、注入合一的方式可方便运行管理。
4 注 水 站
4.1 站 场
4.1.1 注水站布局及选址在总体规划阶段,方案已基本确定,在工程设计阶段要将其具体化,这就要求会同甲方、总体规划及相关专业人员实地进行踏勘,并根据现场情况多方案比较后确定。
4.1.3 值班室内设置控制系统,对罐液位监测、注水泵机组状态监测及保护。
4 注 水 站
4.1 站 场
4.1.1 注水站布局及选址在总体规划阶段,方案已基本确定,在工程设计阶段要将其具体化,这就要求会同甲方、总体规划及相关专业人员实地进行踏勘,并根据现场情况多方案比较后确定。
4.1.3 值班室内设置控制系统,对罐液位监测、注水泵机组状态监测及保护。
4.2 工艺流程
4.2.3 溶解氧是造成高矿化度水具有强腐蚀性的重要原因。据资料介绍,在高矿化度水中,溶解氧从0.02mg/L增加到0.065mg/L时,其腐蚀速度增加5倍左右;溶解氧达到1.90mg/L时,其腐蚀速度增加20倍。鉴于上述情况,有条件时,对强腐蚀水可采取密闭措施,减少曝氧机会。
4.1.5 本条对注水泵机组的选择、运行和调速作出了规定。
1 依据国内陆上大部分油田对注水泵的使用情况,并参照国家现行标准《油田注水系统经济运行规范》SY/T 6569中规定的效率值,推荐如下(见表1):
表1 注水泵运行效率推荐值
注:Q为注水泵额定流量(对离心泵)或理论流量(对于往复泵),单位为立方米每小时(m3/h)。注水电机效率一般在91%~96.5%。
2 根据注入水水质,合理选择注水泵过流部件材质,对于注水泵耐腐抗磨,减缓泵效下降速度尤为重要。近几年来,这一条已作为对供货厂商的重要技术要求,并被接受。在大量使用离心泵注水的大庆、胜利等东部油田,及在新疆塔中、哈密等西部油田均取得了令人满意的结果。
3 当注水站注水泵机组为工频运行,即没有调速装置,并且其站外管网独立自成系统时,为了使注水泵机组出口排量与生产量变化相适应,对泵机组组合作出了规定。
4 本款是借鉴近几年,胜利油田采用高效大排量柱塞泵替代中小型低效离心注水泵,成功应用经验,前提条件为经综合技术经济对比、方案可行的情况下,各油田根据自身实际情况,因地制宜选用。
5 本款对往复式注水泵机组采用调速技术给出了要求。电机配电为低压时,如电压为380V,泵机组选用变频调速技术较为合适;配电为高压时,如电压为6kV或10kV,泵机组选用其他成熟可靠的调速技术。
4.2.7 本条将离心注水泵、注水电机及润滑、冷却系统报警保护要求和技术参数予以明确。这些都是安全、平稳生产的保证,也是大庆油田从多年生产管理经验教训中总结出来的,其他各油田也都有相类似的情况。所以,对这些要求应明确,且不能随意更改。
具体技术要求如下:
(1)注水泵入口低水压保护。泵入口端部应有数字压力表或电接点真空压力表,压力(表压)低于0.02MPa时报警,等于0MPa自动停机。
(2)注水泵单机组供油压力过低保护。单机组润滑油供油管设数字压力表或电接点压力表,供油压力低于0.03MPa时报警,延时5s停机。
(3)注水泵轴承超温保护。泵轴承要求厂家埋设铂热电阻,作为仪表专业一次信号输出,轴温65℃报警,70℃停机。
(4)注水电机轴承超温保护。电机轴承要求厂家埋设铂热电阻,作为仪表专业一次信号输出,轴承65℃报警,70℃停机。
(5)注水泵出口水温超限保护。泵出口水温70℃报警,80℃停机。
(6)注水电机风温超限保护。电机三相定子线圈要求厂家埋设铂热电阻三组,定子风温100℃报警,105℃停机。
(7)稀油站供油压力过低保护。稀油站供油干管设数字压力表或电接点压力表,油压(表压)低于0.08MPa备用油泵自动投入。
(8)冷却水供给压力过低保护。冷却水泵出水干管设数字压力表或电接点压力表,水压(表压)低于0.2MPa备用水泵自动投入。
4.2.8 往复式注水泵3项保护功能一般情况由供货厂商成套提供的电控柜具备,否则由电力专业设计配套。
4.3 注水泵房
4.3.1 本条对注水泵房的布置作出了规定。
6 这两种泵房高度经过多年生产实践证明是合适的。柱塞泵房一般不设桥吊。
9 注水泵房内注水泵机组是主要的噪声源,值班室与注水泵房相邻时,合理布置润滑油设备、冷却水设备和注水泵机组可降低值班室内的噪声,改善值班人员的工作环境。
润滑油设备、冷却水设备其运行时噪声小,可布置在值班室一侧;有多种排量注水泵时,小排量注水泵可布置在值班室一侧,有利于降低值班室内的噪声。
4.3.3 本条对离心泵进出水管道设计作出了规定。
1 离心注水泵的进水管线上安装的设备、仪表的作用如下:
1)截断阀:检修泵时截断来水;
2)过滤器:防止输送介质中夹带过大的杂质进入泵体,造成对泵体过流部件的损坏;
3)偏心大小头:因离心注水泵吸水管的设计通径一般都比泵进口通径大,所以要求在泵的进口安装偏心大小头,并要求平面向上,消除水中溶解气体聚结的可能性;
4)压力表:监测泵进口的压力值,以防止泵吸空。
2 泵入口流量计口径的确定除需有足够的流通能力外,还需满足在储水罐最低液位时,泵的必需汽蚀余量的要求。
3、5 根据技术经济因素的考虑,确定离心泵吸水管及出水管的流速范围。
4 离心注水泵的出水管线上安装的设备、仪表的作用如下:
1)排气阀:在启动注水泵前,排除泵体内空气;
2)止回阀:防止停泵时高压水回流,造成机泵倒转而损坏设备;
3)回流阀:用于注水泵启动运转时,站内循环降压;
4)调节阀:根据生产需要调节泵的压力、排量;
5)截断阀:在机泵检修时,截断高压水;
6)电动调节阀:用电动阀调节注水泵工况,减轻操作人员劳动强度;
7)压力表:测量泵的出口压力。
4.3.4 本条对往复泵进出水管道设计作出了规定。
1 由于振动影响,往复泵进、出水管均不宜设流量计。柱塞泵排量可根据活塞数量、直径、冲程、冲次综合确定。
2、4 根据技术经济因素的考虑,确定往复泵吸水管及出水管的流速范围。
5 往复泵具有间歇吸入和排出的工作特性,管道内会产生压力脉动,从而引起往复泵进出口管的振动。在管道上安装缓冲器可减少管道内的压力脉动,减小激振力,从而降低管道的振幅,缓解管道的振动。增加往复泵进出口管的刚度,可降低管道的振幅。使往复泵进出口管的固有振动频率与压力脉动频率错开,可防止管道产生共振。
影响管道刚度的因素主要有下列3个:
1)管道的支撑。增加支撑数量,将一般的简单支撑改为固定支撑,降低支撑高度以及增加支架本身的刚度等都可提高管道的刚度。
2)管道的布置。管道布置时多拐弯并使其远离两固定点间的连线可增加管道的柔性,反之可增加管道的刚度。管道拐弯太多时,增加了激振力发生点,从而增加了激振力,对防振不利。
3)管道直径。增大管道直径,可增加管道刚度。减小管道直径,会增加管内压力不均匀度,加剧管道振动。
往复泵进出口管容易发生振动的部位如下:
1)往复泵出口处;
2)管道变径处;
3)管道分支接头处;
4)管道拐弯处。
振动管道支架的设置要求如下:
1)应采用防振管卡,不能只是简单地支撑。为保证管道与管卡充分接触,在管卡和管道之间可垫橡胶板;
2)支架间距应根据类似工程经验或振动分析后确定,使管道的固有振动频率与压力脉动频率错开,防止管道产生共振;
3)支架宜设独立基础;
4)支架应尽量沿地面设置。
4.4 储 水 罐
4.4.1 设置2座储水罐,主要目的是当其中一座储水罐检修维护时,另一座储水罐可继续供水,防止注水生产中断。
4.4.4 本条为强制性条文。油田注水用的清水有引自城镇给水管网的情况,若清水水质受污染,将危害人民生命安全,因此本条严禁注水用清水与污水进同一储水罐,且对当清水与污水两罐出水管相连通时防止回流污染的措施作出了规定。
防止回流污染最安全可靠的措施是采用空气隔断,本条规定清水罐进水管口高度必须高于污水罐溢流液位0.3m以上,就是保证至少有0.3m的空气隔断。
当清水罐进水管口水平安装时,管口高度指管口最低点的高度。
4.4.5 储水罐进出水管端口应在罐内两侧相对布置的目的是使来水悬浮物及杂质有沉淀过程,并使罐内的水保持流动状态,以防止水质变差。
4.4.8 从生产实践中发现,即使是储存已净化的油田采出水的储罐年深日久也有一层原油浮在水面上,污油越积越厚,有的厚达1m以上,回收这部分浮油是很有必要的。
4.5 注配间及增压间
4.5.1 1 分散注水属低渗油田密闭短流程一种形式,低压水从水质站泵输至往复泵入口,全程密闭,充分利用压力能,故宜采用密闭流程。由于小型往复泵注水,亦无法实现泵站管道供水洗井,可不设洗井流程。
4.5.2 3 为了降低注水泵房噪声对值班室的干扰,两个房间可不设通行门,相隔观察窗按隔声要求设计。
5 注水管道
5.1 基本要求
5.1.2 本条对注水管道流速作出了规定。
1、2 经调研各油田的实际情况,取消了原规范对压力坡降的要求,并根据技术经济因素的考虑,确定单井支管、注水干管、注水支干管的流速范围。
3 母液外输管道流速不宜大于0.6m/s,目的液注入管道流速不宜大于1.0m/s。这是根据大庆油田和胜利油田的经验数据确定的。
5.1.3 本条给出的管流阻力计算是基于聚合物母液属于非牛顿流体,其中K值和n值要求在聚合物类型、母液浓度、水质、水温等条件相同情况下通过实验确定。
5.1.5 现行行业标准《非金属管道设计、施工及验收规范》SY/T 6769是含有几部不同非金属管道类型的系列标准,分别为《非金属管道设计、施工及验收规范 第一部分 高压玻璃纤维管线管》SY/T 6769.1-2010、《非金属管道设计、施工及验收规范第二部分 钢骨架聚乙烯塑料复合管》SY/T 6769.2-2010、《非金属管道设计、施工及验收规范 第三部分 塑料合金防腐蚀复合管》SY/T 6769.3-2010和《非金属管道设计、施工及验收规范 第四部分 钢骨架增强塑料复合连续管》SY/T 6769.4-2012,根据油田不断完善非金属管道应用需求,今后还会增加新的部分。
5 注水管道
5.1 基本要求
5.1.2 本条对注水管道流速作出了规定。
1、2 经调研各油田的实际情况,取消了原规范对压力坡降的要求,并根据技术经济因素的考虑,确定单井支管、注水干管、注水支干管的流速范围。
3 母液外输管道流速不宜大于0.6m/s,目的液注入管道流速不宜大于1.0m/s。这是根据大庆油田和胜利油田的经验数据确定的。
5.1.3 本条给出的管流阻力计算是基于聚合物母液属于非牛顿流体,其中K值和n值要求在聚合物类型、母液浓度、水质、水温等条件相同情况下通过实验确定。
5.1.5 现行行业标准《非金属管道设计、施工及验收规范》SY/T 6769是含有几部不同非金属管道类型的系列标准,分别为《非金属管道设计、施工及验收规范 第一部分 高压玻璃纤维管线管》SY/T 6769.1-2010、《非金属管道设计、施工及验收规范第二部分 钢骨架聚乙烯塑料复合管》SY/T 6769.2-2010、《非金属管道设计、施工及验收规范 第三部分 塑料合金防腐蚀复合管》SY/T 6769.3-2010和《非金属管道设计、施工及验收规范 第四部分 钢骨架增强塑料复合连续管》SY/T 6769.4-2012,根据油田不断完善非金属管道应用需求,今后还会增加新的部分。
5.2 管道敷设
5.2.1 本条对注水管道敷设作出了规定。
1 埋地敷设是一种经济可行的办法。但在通过低洼地时,是做管床加复土堤形式还是直接开沟加复土堤形式,要视现场具体情况而定。
3 本款为强制性条款。注水管道从站外建(构)筑物基础下穿过,将对建(构)筑物及建(构)筑物中人员构成安全隐患,同时也不便于穿过部分的检查和维护。
4 与建(构)筑物净距不应小于5m,主要是从保护管道,以及方便管道施工及维修的角度考虑。
随着油田的开发和矿区的建设,注水井不断加密,矿区内建(构)筑物不断增多,部分注水管道经过建(构)筑物难以满足安全距离的要求,通常的做法是采取增强措施以加强注水管道,增设保护措施。
站外注水管道与建(构)筑物净距小于5m时,可采取以下增强注水管道的措施:
1)注水管道为钢质管道时,应适当加大钢管壁厚,并要求对相应焊接口100%射线无损检测。
2)注水管道为非金属管道时,应提高管道的压力等级。
3)加强钢制注水管道的防腐。
注水管道的保护措施可采取设套管或与建(构)筑物之间设挡墙等形式。
5.3 钢质管道耐压强度计算
5.3.1 承受内压直管的厚度计算公式引用了现行国家标准《工业金属管道设计规范》GB 50316中直管耐压强度计算公式,并对许用应力值[σ]t直接查表取得。公式适用公称压力小于或等于42MPa的注水钢质管道壁厚计算,可以满足现有油田注水的压力要求。
焊缝钢管、无缝钢管选用表见表2~表4。
表2 焊缝钢管选用表
注:表内数据按工作压力为16MPa计算。
表3 无缝钢管(20)选用表
表4 无缝钢管(16Mn)选用表
6 配水间及井口
6.1 配 水 间
6.1.1 本条对配水工艺作出了规定。
3 本条中的数值来源于各油田的注水井管理规定。
5 从满足生产管理要求和控制工程投资的角度考虑,本条确定注水表准确度为2.0级。
6.1.2 为在紧急故障状态时,人员能迅速安全撤离,本条规定了配水间内人行操作通道的净宽。
6.2 注水井口
6.2.1 本条中提出的方便井下作业是指将正常注水的采油树井口换装或作业用井口时,与采油树相连的注水管道(主管)在高出自然地面0.3m~0.5m处应设置可拆卸的卡箍式接头。
6.2.5 本条为强制性条文。处于居住区、商业繁华区、学校和医院等人口稠密区的注水井口应采取安全防护措施,一方面可防止外来人员进入损坏注水设备,保证生产安全;另一方面可防止儿童和闲杂人员进入,避免遭受意外伤害。安全防护措施可采用井口设围栏、简易房、阀件保护盒等形式。
7 聚合物配制站
7.1 站 场
7.1.3 值班室内设置计算机控制监测系统,对分散、熟化、外输、过滤等过程实现集中控制,并可监测阀门开关、罐液位、设备运行情况。化验室内设聚合物浓度、黏度等化验仪器。
7 聚合物配制站
7.1 站 场
7.1.3 值班室内设置计算机控制监测系统,对分散、熟化、外输、过滤等过程实现集中控制,并可监测阀门开关、罐液位、设备运行情况。化验室内设聚合物浓度、黏度等化验仪器。
7.2 工艺流程
7.2.2 本条对配制过程中减少聚合物溶液的黏度损失作出了规定。
3 此款的要求是为了使母液以较低的水头损失,顺利流入后续流程。
7.2.4 在聚合物的分散、溶解和熟化等工艺环节中,各种设备启停、参数调整和阀门开关的操作量非常大,为了减轻工人劳动强度,使工艺参数调整更及时、准确等,要求工艺过程采取全自动控制。
7.2.5 聚合物干粉中存在一定比例的不溶物,不同渗透率的油层对注入液中不溶物粒径要求不同,母液过滤器的设置要根据油层渗透率确定。
7.2.8 提高聚合物母液的浓度可降低注入泵及分散熟化设施的投资,目前母液配制设备的正常能力,可使母液浓度达到5000mg/L,最大不超过6000mg/L。
7.3 配制间及料库
7.3.3 本条对聚合物干粉分散装置作出了规定。
3 现场使用发现,人工投加聚合物干粉时,粉尘飞扬特别厉害,为减轻聚合物干粉对操作工人身体健康的伤害,特别提出分散装置的人工投料口应设吸尘设施,符合HSE体系对设计的要求。
4 目前分散装置给料多采用电子秤计量,提高了给料的计量精度,给料计量衡器的最大允许误差从原规范的±5%以内改为±2%以内。
5 备用分散装置,是为了保持生产能力不减。对于允许减少生产能力的站,或者在某台装置短时检修不会影响正常供液时,可不设备用装置。大庆油田和胜利油田配注站的分散装置数量在1~4台,是按单台装置每天累计运行时间不超过18h设计的,可保证有短时检修时间,没有设置专门的备用装置。
6 聚合物干粉易于受潮板结,分散装置料斗中的聚合物干粉已除去包装袋,应避免潮湿空气与干粉长期接触。
7.4 熟 化 罐
7.4.1 熟化时间应按照不同的聚合物、水质、温度、搅拌条件下经试验确定,试验表明,油田用聚合物熟化时间一般为2h~3h。
7.4.3 双螺带式搅拌器用于超高分子量类等难以溶解的聚合物,叶轮半推进式搅拌器用于相对易于溶解的聚合物。
7.4.6 大庆油田设有备用熟化罐,胜利油田一直没有设备用熟化罐,基本能满足生产需要。本款规定是为了照顾各油田的习惯做法。
7.5 外输泵房
7.5.1 5 大庆油田使用的袋式过滤器需定期更换滤袋,大的过滤器头盖重量达2t以上,外输泵房设置吊车起重量为3t~5t。
7.5.2 本条对外输(喂入)泵作出了规定。
1 要求外输与喂液用的单螺杆泵的泵速不应大于300rpm,是为了降低聚合物母液的黏度损失,经试验确定的。
3 外输泵直接给注入泵灌注供液时,外输泵应采取变频恒压闭环控制,是为了避免在母液需求减小时输送泵和管道超压运行,同样,也为了避免需求增大时出现供液不足。
6 根据大庆油田的经验,通常在沿单螺杆泵出口方向留有更换定子空间,且将单螺杆泵出口管段设计成可拆卸式,当需更换定子时,可将泵出口管段拆卸下来,以便抽出定子。
7.5.3 胜利油田注聚区都是高渗透油层,地质方案没有对注入液提出特别要求,因此聚合物系统没有设置精滤器,生产过程中也没有出现井口压力升高过大等异常现象。所以本条规定,可采用粗精二级过滤方式,精滤器过滤精度的设置应根据油层对注入液的要求确定。
8 聚合物注入站
8.1 站 场
8.1.3 值班室内设置计算机控制监测系统,对罐液位、机泵运行、高压混配等过程实现集中自动控制,并可监测阀门开关、罐内液位、机泵运行情况。化验室内设聚合物浓度、黏度等化验仪器。
8.2 工艺流程
8.2.3 有关试验数据表明,聚合物母液在节流压降大于2MPa时,黏度损失明显增加。因此要求,采用一泵对多井流程时,要求同一组内的井口压力差别不宜大于2MPa,最大不要超过3MPa。
8.3 注入泵房
8.3.2 本条对注入泵作出了规定。
1 注入泵常采用柱塞泵,柱塞泵剪切速率大小主要由进出液凡尔结构所决定。故注聚用柱塞泵的进出液凡尔要有别于常规柱塞泵。
2 采取变频控制较更换柱塞或皮带轮等,调节流量更方便、灵活,设备投资也不大。
4 聚合物母液在配制过程会混入部分气泡,注入泵在运行过程中泵腔内部易于聚集空气发生故障。而常规柱塞泵的放气难以操作,故注聚用柱塞泵要加装放气部件。
5 采取一泵多井流程时,设在线备用泵,可保证注入连续,有利于生产管理。
8.3.3 本条对注入泵进出液管道设计作出了规定。
1 聚合物母液混入气泡后会造成设备运行故障等不利,注入泵进液总管设集气包定期放气,可在一定程度上缓解这一影响。
3 采取喂液泵或外输泵给注入泵灌注供液时,供液干管流速应小于0.2m/s,注入泵入口管流速应小于0.5m/s,是根据胜利油田的经验确定的。
4 采取高架聚合物母液储罐或储箱给注入泵自流供液时,供液干管流速应小于0.1m/s,注入泵入口管流速应小于0.5m/s,是根据大庆油田的经验确定的。
9 公用工程
9.1 供 配 电
9.1.1 考虑注入工程的作用及特点,依据国家现行标准《供配电系统设计规范》GB 50052划分出负荷等级。
9.1.2 对于二级负荷,因其停电影响比较大,所以宜采用两回线 路供电。三级负荷采用单回路单变压器供电即可满足要求,但油田具体地理位置及线路检修条件不同,三级负荷中较为重要的负荷也可采用双回路单变压器供电,大庆油田的注入站即采用了此种方式。
9.1.4 低压为0.4kV变电所中单台变压器的容量不宜大于1600kV·A,当用电设备容量较大,负荷集中且运行合理时可选用2000kV·A及以上容量的变压器。近年来能够生产大容量的低压断路器及限流低压断路器厂家逐渐增多,在油田配电中采用1250 kV·A及1600kV·A的变压器已经比较多,故推荐变压器的单台容量不宜大于1600kV·A。
9 公用工程
9.1 供 配 电
9.1.1 考虑注入工程的作用及特点,依据国家现行标准《供配电系统设计规范》GB 50052划分出负荷等级。
9.1.2 对于二级负荷,因其停电影响比较大,所以宜采用两回线 路供电。三级负荷采用单回路单变压器供电即可满足要求,但油田具体地理位置及线路检修条件不同,三级负荷中较为重要的负荷也可采用双回路单变压器供电,大庆油田的注入站即采用了此种方式。
9.1.4 低压为0.4kV变电所中单台变压器的容量不宜大于1600kV·A,当用电设备容量较大,负荷集中且运行合理时可选用2000kV·A及以上容量的变压器。近年来能够生产大容量的低压断路器及限流低压断路器厂家逐渐增多,在油田配电中采用1250 kV·A及1600kV·A的变压器已经比较多,故推荐变压器的单台容量不宜大于1600kV·A。
9.2 仪表及监控
9.2.1 现行国家标准《油气田及管道工程计算机控制系统设计规范》GB/T 50823和《油气田及管道仪表控制系统设计规范》GB/T 50892涵盖了油气田及管道相关的仪表检测及监控系统设计的各个方面。油田注水工程的仪表及监控设计应满足这两个规范的相关要求,除此之外,还应考虑注水工程的“高压、高黏、腐蚀和振动”的特点。
9.2.2 聚合物溶液黏稠,一旦溢流,不但造成一定经济损失,也很难清洗。因此,在连续液位测量的基础上要求设置独立的液位开关。
9.2.3 本条对油田注水工程的仪表选型作出了规定。
1 隔离措施主要包括:设置隔离容器及隔离液,吹气,隔膜等。
2 通信方式不仅可以获取瞬时流量,还可以获得累积流量等数据。采用通信方式从流量计中直接读取累计流量等信息可以保证数据的准确。用模拟信号在计算机中作累计会造成误差。
7 数量较少时,采用二线制仪表比较适合;数量较多时,采用技术成熟的总线式或无线仪表便于施工及调试,同时可以节省线缆及控制系统的I/O板卡数量。有效地降低控制系统规模并减少投资。
9.2.4 标准的通信接口是指公开发布的任何一方都可以使用并实现数据互通的通信接口,比如MODBUS RTU、MODBUS TCP/IP、PROFIBUS DP、DNP3等;同一项目中,采用的通信标准越少越好,可以减少调试和维护的工作量;开放的通信接口是指设备供应方提供给业主或第三方的其程序内部数据的定义,即数据字典或寄存器(变量)分配表。
9.2.5 本条对油田注水工程的仪表安装作出了规定。
2 对于高压取压管路,保证其安全至关重要。无论采用卡套还是对焊,引压管路的设计压力均应不大于破坏性试验压力极限值的1/4。此数值借鉴了壳牌的技术规范。引压管路供应商应提供相关测试数据,现场的水压试验与工艺管道相同,试验压力按1.5倍设计压力进行。以0.5m间隔固定是为了减少外界力造成的变形影响。
3 可以采用消除温差的传感器内装的措施,或对传感器周围加热或吹干燥气体等措施。
9 油田注水站涉及高压供电及变频机泵,由此带来的信号干扰比较严重,对于与电力控制柜相连的开关量信号采取继电器隔离是行之有效的减少干扰,保护I/O模块的方法。
9.3 采暖与通风
9.3.3 热水和蒸汽是集中采暖系统最常用的两种热媒。从实际使用情况看,热水作热媒不但采暖效果好,而且锅炉设备、燃料消耗和司炉维修人员等比使用蒸汽采暖相应减少。
9.3.4 为防止管道或散热器老化损坏时,采暖系统热水喷溅到电力或仪表盘柜上造成次生事故,在上述场所,建议采用电采暖方式。
9.3.6 有组织的自然通风可采用筒形风帽、旋转风帽、球形风帽或通风天窗等形式。
9.3.7 现场调查发现,聚合物配制站、注水站等的化验室散发出大量的有害气体,为迅速有效地排除,规定采用通风柜进行局部排风。
9.4 站场道路
9.4.1 站场内的道路路面宽度是按照站场的具体情况,经多年实践经验总结而确定的。站场的生产产品绝大部分是以管道输送为主,道路主要服务性质是生产管理、设备维修、辅助生产和消防,而没有经常性的生产产品运输任务,故路面宽度的确定均低于现行国家标准《厂矿道路设计规范》GBJ 22中的规定。用地紧张的站场,其路面宽度可采用较小数值。
9.4.2 一般站场道路多采用不设立缘石的横断面形式,路面边缘与两侧地面高度相同,靠地面竖向坡度和路面纵坡排水。
9.4.3 站场路路面类型是参考中国石油大学出版社2010年出版的《石油和化工工程设计工作手册》第七册《油气田与管道公用工程设计》(上)油气田站场道路的有关资料和多年实践经验总结而确定的。路面的结构及其组合、计算等应按现行国家标准《厂矿道路设计规范》GBJ 22中的有关规定执行。
9.4.4 进站路其他指标可根据计算行车速度按现行国家标准《厂矿道路设计规范》GBJ 22中的有关规定执行。
9.4.5 本条参照现行国家标准《厂矿道路设计规范》GBJ 22,结合运输和消防用车的车型特点而定。站场主要通行车辆为4t~5t的标准载重汽车,若行驶其他汽车时,其转弯半径的数值可做适当调整。
站场内道路纵坡一般均根据站场竖向整平方式综合确定,因此在地形条件复杂地区也不会出现过大的纵坡,故各类道路均规定了一个标准。
9.4.6 有条件的站场,其平交道口停车视距宜大于或等于20m。
9.4.7 配制站汽车装卸场地宜采用水泥混凝土场地,主要是考虑重载车辆长时间停靠及化学药剂对路面的腐蚀等因素。
9.5 防腐保温及阴极保护
9.5.4 铁离子是造成阳离子聚丙烯酰胺化学降解的催化剂,因此在配制、转移、储存聚丙烯酰胺溶液时,要尽量避免碳钢材料的铁离子与溶液的接触。目前比较经济的方法是采取涂层使碳钢与溶液隔离,而且涂层还能减缓碳钢的锈蚀。
9.5.6 站场的埋地设施之间电绝缘困难,单独保护储罐或管道都会因无法做到理想绝缘而使阴极保护电流大量散失,不易达到好的效果,采用联合区域性阴极保护可使埋地设施都能统一得到阴极保护,从而减缓埋地金属构筑物的腐蚀。
9.5.8 本条是国际通用做法,通常采用纯锌接地极或锌包钢材料,这些材料对阴极保护系统不会造成过大的电流损失,阴极保护系统能长时间正常工作。而采用铜、碳及石墨接地模块等比碳钢电位正的接地材料时,阴极保护会不堪重负。
免责申明:本站所有资源均通过网络等公开合法渠道获取,该资料仅作为阅读交流使用,并无任何商业目的,其版权归作者或出版方所有,本站不对所涉及的版权问题负任何法律责任和任何赔偿,在本站咨询或购买后默认同意此免责申明;
法律责任:如版权方、出版方认为本站侵权,请立即通知本站删除,物品所标示的价格,是对本站搜集、整理、加工该资料以及本站所运营的费用支付的适当补偿,资料索取者(顾客)需尊重版权方的知识产权,切勿用于商业用途,信息;
『GB T51190-2016』海底电力电缆输电工程设计规范
中华人民共和国国家标准海底电力电缆输电工程设计规范CodefordesignofsubmarinepowercableprojectGB/T51190-2016主编部门:中国电力企业联合会批准部门:中华人民共和...
2025-05-19
『GB50038-2005』人民防空地下室设计规范
中华人民共和国国家标准人民防空地下室设计规范CodefordesignofcivilairdefencebasementGB50038-2005主编部门:国家人民防空办公室批准部门:中华人民共和国建设部施...
2025-05-19
『CJJ32-2011』含藻水给水处理设计规范
...
2025-05-19
『JGJ128-2010』建筑施工门式钢管脚手架安全技术规范
中华人民共和国行业标准建筑施工门式钢管脚手架安全技术规范TechnicalcodeforsafetyofframescaffoldingswithsteeltubulesinconstructionJGJ128-2010批准部门:中华...
2025-05-19
『GB51044-2014』煤矿采空区岩土工程勘察规范
中华人民共和国国家标准煤矿采空区岩土工程勘察规范CodeforinvestigationofgeotechnicalengineeringinthecoalminegoafGB51044-2014主编部门:中国煤炭建设协会批准...
2025-05-19
『GB50255-2014』电气装置安装工程 电力变流设备施工及验收规范
中华人民共和国国家标准电气装置安装工程电力变流设备施工及验收规范Codeforconstructionandacceptanceofpowerconversionequipmentelectricequipmentinstallatio...
2025-05-19