中华人民共和国国家标准
火炸药工程设计能耗指标标准
Standard for design of energy consumption index in propellant and explosive engineering
GB 50767-2013
主编部门:中国兵器工业集团公司
批准部门:中华人民共和国住房和城乡建设部
施行日期:2014年3月1日
中华人民共和国住房和城乡建设部公告
第122号
住房城乡建设部关于发布国家标准《火炸药工程设计能耗指标标准》的公告
现批准《火炸药工程设计能耗指标标准》为国家标准,编号为GB 50767-2013, 自2014年3月1日起实施。其中,第4.1.1、7.0.1、7.0.2条为强制性条文,必须严格执行。
本标准由我部标准定额研究所组织中国计划出版社出版发行。
中华人民共和国住房和城乡建设部
2013年8月8日
前言
本标准是根据原建设部《关于印发<2006年工程建设标准规范制订、修订计划(第二批)>的通知》(建标[2006]136号)的要求,由五州工程设计研究院会同有关单位编制而成的。
在标准的编制过程中,编制组进行了广泛的调查研究,认真考察了我国兵器工业火炸药行业生产运行中的工序、设备、单位产品耗能指标,同时参考、借鉴了国家能源监测、计量、统计有关标准,并广泛征求了有关单位和专家的意见,对标准条文反复讨论修改,最后经审查定稿。
本标准共分8章和3个附录,主要技术内容有:总则,术语,产品的生产工序及数据的采集,能源计量监测与记录,能源折标煤的计算,火炸药单位产品能耗的计算,能耗指标等级及节能管理等。
本标准中以黑体字标志的条文为强制性条文,必须严格执行。
本标准由住房和城乡建设部负责管理和对强制性条文的解释,由中国兵器工业集团公司负责日常管理工作,由五洲工程设计研究院负责具体技术内容的解释。在执行过程中,请各单位结合工作实践和科学研究,认真总结经验,注意积累资料,如发现需要修改和补充之处,请将意见和建议寄交五洲工程设计研究院(地址:北京市西城区西便门内大街85号,邮政编码:100053,电话:010-83196341,传真:010-83196260,电子邮箱:zgb5301@sina.com),以便今后修订时参考。
本标准主编单位、参编单位、主要起草人和主要审查人:
主编单位:五洲工程设计研究院
参编单位:四川泸州北方化学工业有限公司
山西北方兴安化学工业有限责任公司
辽宁庆阳特种化工有限公司
甘肃银光化学工业集团有限公司
西安北方惠安化学工业有限公司
主要起草人:孙振安 赫英超 吴林林 马基友 渠林忠 邢生贵 毛守民 怀礼敬 李广俊 高加纲 荣春玲 贾 文 蒋啸林 张炳东 于万河 王金波
主要审查人:沈龙海 俞世一 王 建 王兆田 张洪雁 王 栋 王英刚
1 总 则
1.0.1 为了提高火炸药行业主要生产工序、设备的用能技术水平和管理水平,促进火炸药行业用能工作的科学化、规范化,制定本标准。
1.0.2 本标准适用于火炸药行业的黑索今、梯恩梯、单基发射药、双基发射药、复合固体推进剂等的生产用能和能源监测管理,以及上述产品工艺生产线的新建、改建和扩建的规划、设计工作。
1.0.3 火炸药工程设计能耗指标除应符合本标准外,还应符合国家现行标准《机械行业节能设计规范》JGJ 14、《用能单位能源计量器具配备和管理通则》GB 17167及《综合能耗计算通则》GB/T 2589的规定。
2 术 语
2.0.1 一次能源 primary energy
在自然界中取得的未经任何改变或转换的能源,主要包括:原煤、原油、天然气、水力、风力、太阳能、生物质能等。
2.0.2 二次能源 secondary energy
由一次能源经过加工转换成另一种形态的能源产品,包括:洗精煤、型煤、焦炭、煤气、汽油、煤油、柴油、燃料油、液化石油气、炼厂干气、其他石油制品、其他焦化产品、热力、电力等。
2.0.3 耗能工质 energy consumed medium
在生产过程中所使用的不作原料,也不进入产品,在生产或制取时需要直接消耗能源的载能介质。如新水、软化水、压缩空气、氧气、氮气、氦气、乙炔、电石等。
2.0.4 能源当量值 energy calorific value
按照物理学电热当量、热功当量、电功当量换算的各种能源所含的实际能量。按国际单位制,折算系数为1.0。
2.0.5 能源等价值 energy equivalent value
能量转换必然存在损失,即有转换效率存在。获得一个单位的二次能源所消耗的一次能源量,称为二次能源的等价值。
2.0.6 用能单位 energy consumption unit
具有确定边界的耗能单位。
2.0.7 直接综合能耗 direct comprehensive energy consumption
统计期内,在产品的生产工序中,扣除采暖等的能源消耗实物量,按规定的计算方法折算为标准煤的能耗。
2.0.8 单位产品直接综合能耗 direct comprehensive energy consumption per unit product
统计期内,生产单位合格产品所用的直接综合能耗。
2.0.9 主要生产工序 main manufacture procedure
企业产品的主要生产工序,包括原料准备(接收)、生产加工、产品的制成及产品的包装等生产工艺过程。
3 产品的生产工序及数据的采集
3.0.1 产品生产工序的范围应符合下列规定:
1 黑索今的主要生产工序应包括原料准备、硝化、结晶、冷却、洗涤、煮洗、干燥、包装、硝烟吸收等工艺过程,不包括废酸处理和废水处理;
2 梯恩梯的主要生产工序应包括原料输送、硝化、预洗、精制、干燥、制片、包装等工艺过程,不包括硝烟吸收、废酸处理和废水处理;
3 单基发射药的主要生产工序应包括硝化棉接收、驱水、胶化、压伸、切断、筛选、预烘、汽浸(浸水)、烘干、光泽、混同包装、溶剂回收等工艺过程;
4 双基发射药的主要生产工序应包括药浆接收、驱水、压延、切割、烘干、压伸、切药、凉药、车药、挑选、组批、混同、包装等工艺过程;
5 复合固体推进剂的主要生产工序应包括壳体准备、原料准备、称量、混合、浇注、固化、拔模整形、应力释放罩制造、探伤、静止试验、包装等工艺过程。
3.0.2 生产系统的工序、装置或设备的确定应符合下列规定:
1 火炸药行业生产系统的工序、装置或设备应是国家允许的生产工序、装置或设备;
2 火炸药行业生产系统中,产品的生产工序、装置及工序、装置中的主要耗能设备,应从生产安全、节能、对环境的影响、产品质量、生产效率等方面进行评价,并按国家、行业的要求进行比对,以便适时对其进行更新、改造。
3.0.3 生产系统的工序、装置或设备能耗数据的取用应符合下列规定:
1 火炸药行业生产系统的工序、装置或设备的能耗数据应符合现行国家标准《综合能耗计算通则》GB/T 2589的有关要求,企业中主要生产系统的能耗量应以实测为准;
2 火炸药行业生产系统的工序、装置或设备的能耗数据应以当年(年度)实测且经过核定的数据为准;
3 能耗数据的采集,必须来自于各类合格的节能监测、计量仪表;
4 能耗数据的采集应在正常工况(生产)条件下进行,正常工况(生产)条件是指工序、装置或设备的连续生产能力达到设计能力的85%或以上;
5 当间断生产时,应至少实测3个生产周期,每个生产周期应监测3次。
4 能源计量监测与记录
4.1 能源计量仪表的配备
4.1.1 火炸药企业应装设三种级别的计量仪表,且配备率应符合表4.1.1的规定。
表4.1.1 能源计量仪表配备率要求(%)
4.1.2 下列用能设备应单独配备计量仪表:
1 安装容量大于或等于45kW的电阻炉和大于或等于30kW的其他电热设备;
2 安装容量大于或等于37kW的用电设备;
3 轻油平均耗量大于或等于60kg/h的燃油炉;
4 煤平均耗量大于或等于180kg/h标煤的燃煤炉;
5 煤气平均耗量大于或等于100m3/h的煤气炉;
6 天然气平均耗量大于或等于40m3/h的天然气炉;
7 液化石油气平均耗量大于或等于15m3/h的液化石油气炉;
8 蒸汽平均耗量大于或等于200kg/h的用汽设备;
9 新鲜水平均耗量大于或等于5m3/h的用水设备。
4 能源计量监测与记录
4.1 能源计量仪表的配备
4.1.1 火炸药企业应装设三种级别的计量仪表,且配备率应符合表4.1.1的规定。
表4.1.1 能源计量仪表配备率要求(%)
4.1.2 下列用能设备应单独配备计量仪表:
1 安装容量大于或等于45kW的电阻炉和大于或等于30kW的其他电热设备;
2 安装容量大于或等于37kW的用电设备;
3 轻油平均耗量大于或等于60kg/h的燃油炉;
4 煤平均耗量大于或等于180kg/h标煤的燃煤炉;
5 煤气平均耗量大于或等于100m3/h的煤气炉;
6 天然气平均耗量大于或等于40m3/h的天然气炉;
7 液化石油气平均耗量大于或等于15m3/h的液化石油气炉;
8 蒸汽平均耗量大于或等于200kg/h的用汽设备;
9 新鲜水平均耗量大于或等于5m3/h的用水设备。
4.2 能源消耗记录
4.2.1 企业主要生产系统中能源消耗的记录宜包括下列内容:
1 时间(年、月、日)。
2 能源消耗种类。
3 主要生产工序、装置能源消耗量:
1)能源消耗实物量;
2)年折标煤量。
4 年单位产品直接能耗。
4.2.2 年能源消耗记录应按本标准附录A的要求填写,且应由单位主管部门核准并加盖公章。
5 能源折标煤的计算
5.0.1 一次能源折标煤的计算,应符合下列规定:
1 外购的各种燃料的发热量应实测,并按应用基低位发热量为计算基础折算成标准煤,其折标系数为:

式中:EK——一次能源折标煤系数(kgce/kg);
QNet,ar——某种燃料低位发热量(MJ/kg);
29.308——1千克标准煤的发热量(MJ/kgce)。
2 各种能源折标煤参考系数应符合附录B的规定。
5.0.2 二次能源折标煤的计算,应符合下列规定:
1 计算二次能源消耗量时,应按当量值或等价值折算为标准煤;
2 本企业自产的二次能源,应按等价值折算为标准煤;
3 外购的二次能源,当无条件实测时,应按国家现行有关折标煤系数计算。
5.0.3 耗能工质折标煤的计算,应按能源等价值折算,并应符合本标准附录C的规定。
6 火炸药单位产品能耗的计算
6.1 单位产品的直接能耗
6.1.1 火炸药单位产品直接能耗不含冬季采暖能耗及厂内外运输能耗。
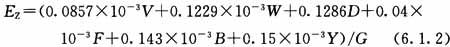
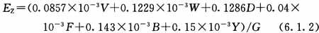
6.1.2 单位产品的直接能耗,应按下式计算:

式中:EZ——火炸药单位产品直接能耗数值(tce/t);
V——主要生产工序新水消耗量的数值(t);
W——主要生产工序电消耗量的数值(kW·h);
D——主要生产工序蒸汽消耗量的数值(t)[如用"热力”消耗量的数值(GJ),折算系数采用0.0341];
F——主要生产工序压缩空气消耗量的数值(m3);
B——主要生产工序循环水消耗量的数值(t);
Y——主要生产工序冷冻盐水消耗量的数值(t);
G——统计期内生产火炸药合格产品的折算数量(t)。
注:1 本公式中所含的一、二次能源和耗能工质,应根据生产实际状况取舍;
2 凡利用余热产生的能源量,折算后应在该工序能耗量中扣除,用于本工序或其他工序的该部分能量则以正常消耗量计入。
6 火炸药单位产品能耗的计算
6.1 单位产品的直接能耗
6.1.1 火炸药单位产品直接能耗不含冬季采暖能耗及厂内外运输能耗。
6.1.2 单位产品的直接能耗,应按下式计算:

式中:EZ——火炸药单位产品直接能耗数值(tce/t);
V——主要生产工序新水消耗量的数值(t);
W——主要生产工序电消耗量的数值(kW·h);
D——主要生产工序蒸汽消耗量的数值(t)[如用"热力”消耗量的数值(GJ),折算系数采用0.0341];
F——主要生产工序压缩空气消耗量的数值(m3);
B——主要生产工序循环水消耗量的数值(t);
Y——主要生产工序冷冻盐水消耗量的数值(t);
G——统计期内生产火炸药合格产品的折算数量(t)。
注:1 本公式中所含的一、二次能源和耗能工质,应根据生产实际状况取舍;
2 凡利用余热产生的能源量,折算后应在该工序能耗量中扣除,用于本工序或其他工序的该部分能量则以正常消耗量计入。
6.2 产品的修正系数
6.2.1 统计期内产出合格产品的折算数量应按下式计算:

式中:G——统计期内产出合格产品的折算数量(t);
Gi——统计期内产出合格产品的实际数量(t);
Ki——统计期内产品的修正系数。
6.2.2 黑索今产量修正系数Ki应符合表6.2.2的规定。
表6.2.2 黑索今产量修正系数表
| 产品产量Gi(t) | <2500 | 2500~2800 | 2800~3500 |
| 修正系数Ki | 1.20~1.18 | 1.0 | 0.90~0.95 |
6.2.3 梯恩梯产量修正系数Ki应符合表6.2.3的规定。
表6.2.3 梯恩梯产量修正系数表
| 产品产量Gi(t) | <10000 | 10000~15000 | >15000 |
| 修正系数Ki | 1.1 | 1.0 | 0.9 |
6.2.4 单基发射药修正系数Ki应按下式计算:

式中:Ki——单基发射药修正系数;
K1——单基发射药产量修正系数,应符合表6.2.4-1的规定;
K2——单基发射药结构修正系数,应符合表6.2.4-2的规定。
表6.2.4-1 单基发射药产量修正系数表
| 产品产量Gi(t) | <1000 | 1000~1300 | >1300 |
| 修正系数K1 | 1.05~1.10 | 1.0 | 0.90~0.95 |
表6.2.4-2 单基发射药结构修正系数表
| 产品种类 | <15 | 15~18 | >18 |
| 修正系数K2 | 0.95 | 1.0 | 1.05 |
6.2.5 双基发射药产量修正系数Ki应符合表6.2.5的规定。
表6.2.5 双基发射药产量修正系数表
| 产品产量Gi(t) | <550 | 550~650 | >650 |
| 修正系数Ki | 1.05 | 1.0 | 0.95 |
6.2.6 复合固体推进剂产量修正系数Ki应符合表6.2.6的规定。
表6.2.6 复合固体推进剂产量修正系数表
| 产品产量Gi(t) | <1000 | 1000~1600 | 1600~2000 | >2000 |
| 修正系数Ki | 1.50 | 1.05 | 1.0 | 0.70 |
7 能耗指标等级
7.0.1 能耗指标等级的划分,应符合下列规定:
1 能耗指标等级划分为一级、二级、三级。
2 一级能耗指标为单位产品直接能耗限额先进值。达到一级指标的生产线应为能耗先进生产线。
3 二级能耗指标为企业新建、扩建项目的单位产品直接能耗限额准入值。该指标应是企业新建、扩建项目时必须达到的单位产品直接能耗值,是主管部门批准立项的依据。
4 三级能耗指标为现有企业生产某产品的单位产品直接能耗限额限定值。超过该指标的企业,其生产耗能过程应限期整改。
7.0.2 主要产品的单位产品直接能耗指标,应符合表7.0.2的规定。
表7.0.2 主要产品的单位产品直接能耗指标表
8 节能管理
8.1 节能基础管理
8.1.1 企业应根据现行国家标准《用能单位能源计量器具配备和管理通则》GB 17167的有关要求配备相应的能源计量器具并建立能源计量管理制度。
8.1.2 企业应按要求建立能耗统计体系,建立能耗计算和统计结果的文件档案,并对文件实行受控管理。
8.1.3 企业应建立节能考核制度,每年定期对相应产品的生产工序能耗状况进行考核,并把考核指标分解、落实到各基层单位。
8.1.4 企业应建立节能监测体系,制定监测制度,对能源使用情况进行监测、监督、检查并对不合理用能行为提出处理意见。
8.2 节能技术管理
8.2.1 企业进行技术改造时,应采用成熟、先进工艺,提高生产效率和能源利用率。
8.2.2 企业应合理组织生产,减少中间环节耗能,提高生产能力。
8.2.3 企业应配备余热回收装置,最大限度地对工序生产过程中可回收的能源进行再利用。
8.2.4 企业应确保产品生产工序、装置的一次能源、二次能源、耗能工质的正常供应,确保生产工序、装置的安全生产。
8.2.5 企业应大力发展循环经济,利用现有成熟、先进技术,合理利用工序中的再生资源。
附录A 年能源消耗表
表A 年能源消耗表
附录B 部分能源和耗能工质折标煤参考系数
表B 部分能源和耗能工质折标煤参考系数

附录C 耗能工质能源等价值
表C 耗能工质能源等价值
本标准用词说明
1 为便于在执行本标准条文时区别对待,对要求严格程度不同的用词说明如下:
1)表示很严格,非这样做不可的:
正面词采用"必须”,反面词采用"严禁”;
2)表示严格,在正常情况下均应这样做的:
正面词采用"应”,反面词采用"不应”或"不得”;
3)表示允许稍有选择,在条件许可时首先应这样做的:
正面词采用"宜”,反面词采用"不宜”;
4)表示有选择,在一定条件下可以这样做的,采用"可”。
2 条文中指明应按其他有关标准执行的写法为:"应符合……的规定”或"应按……执行”。
引用标准名录
《综合能耗计算通则》GB/T 2589
《用能单位能源计量器具配备和管理通则》GB 17167
《机械行业节能设计规范》JBJ 14
中华人民共和国国家标准
火炸药工程设计能耗指标标准
GB 50767-2013
条文说明
制订说明
《火炸药工程设计能耗指标标准》GB 50767-2013,经住房和城乡建设部2013年8月8日以第122号公告发布。
本标准制订过程中,编制组对我国火炸药行业进行了广泛的调查研究,认真总结了实践经验,参考了国内相关法规、技术标准,通过实测取得了重要的技术数据。
为便于广大设计、施工、科研、院校等单位有关人员在使用本标准时能正确理解和执行条文规定,《火炸药工程设计能耗指标标准》编制组按章、节、条顺序编制了本标准的条文说明,对条文规定的目的、依据以及执行中需注意的有关事项进行了说明,还着重对强制性条文的强制性理由作了解释。但是,本条文不具备与标准正文同等的法律效力,仅供使用者作为理解和把握标准规定的参考。
1 总 则
1.0.1 本条文阐述了编制《火炸药工程设计能耗指标标准》的目的。
1.0.2 本条文明确规定了本标准的适用范围。
2 术 语
2.0.9 本条文中的主要生产工序,目前包括以下五项:
(1)黑索今的生产工序。
(2)梯恩梯的生产工序。
(3)单基发射药的生产工序。
(4)双基发射药的生产工序。
(5)复合固体推进剂的生产工序。
3 产品的生产工序及数据的采集
3.0.1 划分主要产品的生产工序范围,主要是为了确定能生产出合格产品的工序、工艺中设备、装置的能耗量,以考核、计算该产品的"单位产品综合能耗”"单位产品工序、工艺能耗”"单位产值综合能耗”等。
3.0.3 企业主要生产系统的工序、装置或设备的能耗数据的采集,应在当年(年度)的统计期内,取用各类合格的节能监测、计量仪表显示的实测数据。
本标准数据的采集不包括以下能耗:
(1)生活用能;
(2)变压器油、润滑油、液压油、石蜡;
(3)工序/装置、设备检修能耗;
(4)生产系统工序中的采暖能耗;
(5)生产系统工序中的运输能耗。
4 能源计量监测与记录
4.1 能源计量仪表的配备
4.1.1 本条文是强制性条文。本条文引用现行国家标准《用能单位能源计量器具配备和管理通则》GB 17167的规定,火炸药企业应装设三种级别的计量仪表,在用能单位的进、出口装设一级计量仪表,在主要次级用能单位的进、出口装设二级计量仪表,在主要用能设备上装设三级计量仪表。
4.1.2 本条文引用现行行业标准《机械行业节能设计规范》JBJ 14的主要原因是:兵器工业(火炸药行业)企业中的"主要用能设备”的限定值均小于现行国家标准《用能单位能源计量器具配备和管理通则》GB 17167中指的"主要用能设备”的限定值,因此不宜采用现行国家标准《用能单位能源计量器具配备和管理通则》GB 17167在"主要用能设备”上装设的计量器具限定值的规定。
5 能源折标煤的计算
本章的应用基低位发热量等于29.308MJ(百万焦耳)的燃料,称为1kgce。
外购的燃料能源可取实测的低位发热量或供货单位提供的实测值为计算基础,或用国家统计部门提供的折算系数折算。
二次能源及耗能工质均按相应能源等价值折算。
企业能源转换自产时,按实际投入的实物量折算标煤量。
当未提供能源等价值时,可按国家统计部门提供的折算系数折算。
6 火炸药单位产品能耗的计算
6.1 单位产品的直接能耗
6.1.1 本条文对企业单位产品直接综合能耗作了规定,企业应采用同一计划、统计期内的合格产品作为考核对象。单位产品直接能耗系指扣除了该工序中的"采暖能耗”"运输能耗”"生活能耗”"辅助生产能耗(工序检修时耗能)”的能耗。
6.1.2 本条文计算公式中计入了一次能源、二次能源、耗能工质的V、W、D、F、B、Y,如果还耗用了其他能源应一并计入。
凡在生产线中增设了余热利用装置的工序,应将其回收的热量折算后,从单位产品直接综合能耗中扣除。
6.2 产品的修正系数
6.2.1 本条文中指出的"统计期内产出合格产品”是指按计划和合同要求生产出的产品,不含次品、废品。不同产品的修正系数Ki不同,实际计算时需认真区别选用。
7 能耗指标等级
7.0.1 本条文是强制性条文,规定了现有的火炸药企业在生产过程中消耗的能源不能超过相应的限额规定值。
为了提高火炸药企业生产相关产品能耗的准入门槛,促进现有火炸药企业通过节能改造、优化生产工序,明确了火炸药企业生产能耗应达到的水平。本标准对火炸药企业相关产品的能耗指标规定为:限定值(三级)、准入值(二级)、先进值(一级)。
各等级指标的含义是:实际的单位产品直接能耗值不应大于相应级别的指标值。
7.0.2 本条文是强制性条文,生产相应产品的火炸药企业,必须执行本规定。
三级能耗指标的制订原则是:取某产品2007年、2008年、2009年三年统计期内,合格产品的单位产品直接能耗统计值之和,采用其算术平均值,经加权处理后再下降4%~6%,作为三级能耗指标。
二级能耗指标的制订原则是:在三级能耗指标(值)的基础上,下降某个百分数。
一级能耗指标的制订原则是:在二级能耗指标(值)的基础上,下降某个百分数。
(1)黑索今:三级能耗指标为0.63吨标准煤/吨(tce/t)(取2008年能耗值0.63吨标准煤/吨);三级能耗指标下降12.7%为0.55吨标准煤/吨(tce/t),定为二级能耗指标;二级能耗指标下降2%为0.54吨标准煤/吨(tce/t),定为一级能耗指标。
(2)梯恩梯:三级能耗指标是取三年平均值0.143吨标准煤/吨再下降4%,定义为0.14吨标准煤/吨(tce/t);三级能耗指标下降6%为0.13吨标准煤/吨(tce/t),定为二级能耗指标;二级能耗指标下降6%为0.12吨标准煤/吨(tce/t),定为一级能耗指标。
(3)单基发射药:三级能耗指标是取三年平均值5.33吨标准煤/吨再下降6%,定为5.00吨标准煤/吨(tce/t);三级能耗指标下降20%为4.00吨标准煤/吨(tce/t),定为二级能耗指标;二级能耗指标下降20%为3.20吨标准煤/吨(tce/t),定为一级能耗指标。
因375厂生产单基发射药的原材料——硝化棉系外购产品,脱水时间由原来的40分钟增加至2小时,能耗随之增加,经标准编写组商定,本标准规定的5.00吨标准煤/吨(tce/t)的三级能耗指标调整为5.50吨标准煤/吨(tce/t)。该产品的二级能耗指标及一级能耗指标不变。
(4)双基发射药:三级能耗指标是取三年平均值1.66吨标准煤/吨再下降4%,定为1.60吨标准煤/吨(tce/t);三级能耗指标下降6%为1.50吨标准煤/吨(tce/t),定为二级能耗指标;二级能耗指标下降4%为1.44吨标准煤/吨(tce/t),定为一级能耗指标。
(5)复合固体推进剂:三级能耗指标是取2006年、2007年、2008年、2009年四年平均值10.07吨标准煤/吨再下降5.5%,定为9.05吨标准煤/吨(tce/t);三级能耗指标下降6%为8.93吨标准煤/吨(tce/t),定为二级能耗指标;二级能耗指标下降4%为8.57吨标准煤/吨(tce/t),定为一级能耗指标。
8 节能管理
8.1 节能基础管理
8.1.1 企业应根据现行国家标准《用能单位能源计量器具配备和管理通则》GB 17167的要求配备相应的能源计量器具并建立能源计量管理制度,加强对在线的工艺生产线节能监测仪表配备率的监督,定期对在线的工艺生产线的节能监测仪表的运行状况进行标定。
8.1.2 企业应按要求建立能耗统计体系,建立能耗计算和统计结果文件档案。企业应按相应要求填制、上报各类法定报表,以满足上级部门或企业管理部门为及时掌握本企业能源消耗状况的需求。企业填写的相关耗能报表必须认真、及时、真实、有效,单位必须盖公章。企业相应负责人、填写人应对相关耗能报表负责。
8.2 节能技术管理
8.2.1 企业应对工艺生产线进行技术改造,采用先进工艺,并对在线的工序、装置或设备进行技术考核。
(1)在线的工艺生产线生产的产品必须符合国家规定。
(2)在线的工艺生产线生产的产品对环境的污染影响,应符合国家、行业标准的规定。
8.2.4 企业应确保工艺生产线的蒸汽、压缩空气、水、电力等的需求,且必须符合本标准的规定。工艺生产线投料前,应对所有的设备进行单台空载试运行,各种设备空载试运行的要求,按照企业设备运行标准和国家标准执行。
免责申明:本站所有资源均通过网络等公开合法渠道获取,该资料仅作为阅读交流使用,并无任何商业目的,其版权归作者或出版方所有,本站不对所涉及的版权问题负任何法律责任和任何赔偿,在本站咨询或购买后默认同意此免责申明;
法律责任:如版权方、出版方认为本站侵权,请立即通知本站删除,物品所标示的价格,是对本站搜集、整理、加工该资料以及本站所运营的费用支付的适当补偿,资料索取者(顾客)需尊重版权方的知识产权,切勿用于商业用途,信息;
福州市长乐区人民法院大楼及附属楼工程结算审核询价公告
项目概况福州市长乐区人民法院大楼及附属楼工程结算审核 采购项目的潜在供应商应在福建鑫之源建设发展有限公司【地址:福州市晋安区福新支路5号福新楼4层开标室】...
2026-02-16
武隆区职业教育中心课桌凳及床采购(WLQ25A00073)中标(成交)结果公告
武隆区职业教育中心课桌凳及床采购(WLQ25A00073)中标(成交)结果公告一、项目号:WLQ25A00073 采购方式:询价二、项目名称:武隆区职业教育中心课桌凳及床采购三...
2026-02-16
黑龙江中医药大学附属第二医院320排CT交流整流器采购实行单一来源采购方式的公示
黑龙江中医药大学附属第二医院320排CT交流整流器采购实行单一来源采购方式的公示一、项目信息:采购人:黑龙江中医药大学附属第二医院 项目名称:320排CT交流整流器 拟...
2026-02-16
河北省文化和旅游厅本级在京津高铁站开展河北文旅宣传服务项目第七标段公开招标公告(二次)
项目概况河北省文化和旅游厅在京津高铁站开展河北文旅宣传服务招标项目的潜在投标人应在在河北省公共资源交易服务平台(http://ggzy.hebei.gov.cn/hbggfwpt/)自主网...
2026-02-16
娄底房开资质升级后如何避免资质被吊销或注销
在房地产开发行业中,企业的资质是开展业务的重要保障。娄底房开企业在完成资质升级后,如何确保资质的安全,避免被吊销或注销,是企业需要重点关注的问题。以下是一些关...
2026-02-16
四川大学国家医学攻关产教融合创新平台(四川省财政厅)-高清内镜中心-飞秒激光直写光纤光栅系统等设备采购公开招标公告
项目概况国家医学攻关产教融合创新平台(四川省财政厅)-高清内镜中心-飞秒激光直写光纤光栅系统等设备采购 招标项目的潜在投标人应在现场或网上获取招标文件,并于202...
2026-02-16
窑头粮管所粮食质量内部检验检测能力建设采购项目
2四川省肿瘤医院武侯院区重症系统重新采购招标公告
3重庆市南川区石墙镇专职消防队车辆装备器材采购项目(NCQ25A00842)竞争性谈判公告
4安平县2025年中央及省级粮油生产保障小麦 “一喷三防”项目竞争性磋商中标公告
5云县人民法院警用车辆购买项目成交公告
6江西省机电设备招标有限公司关于江西省寄生虫病防治研究所实验设备采购项目第二次(项目编号:JXTC2025040472C1)竞争性谈判更正公告
7兴国县G319国道三处交通信号灯、电子警察建设ZXGS2025-XG-G002结果公示
8广州城市职业学院2025年海珠校区、科教城校区财政专项设计服务项目综合评选公告