中华人民共和国国家标准
消防安全工程
第5部分:火羽流的计算要求
Fire safety engineering——
Part 5:Requirements governing algebraic equations for fire plumes
(ISO 16734:2006,Fire safety engineering——
Requirements governing algebraic equations—Fire plumes,MOD)
GB/T 31593.5-2015
发布部门:中华人民共和国国家质量监督检验检疫总局
中国国家标准化管理委员会
发布日期:2015年06月02日
实施日期:2015年08月01日
前 言
GB/T 31593《消防安全工程》分为以下九个部分:
——第1部分:计算方法的评估、验证和确认;
——第2部分:所需数据类型与信息;
——第3部分:火灾风险评估指南;
——第4部分:设定火灾场景和设定火灾的选择;
——第5部分:火羽流的计算要求;
——第6部分:烟气层的计算要求;
——第7部分:顶棚射流的计算要求;
——第8部分:开口气流的计算要求;
——第9部分:人员疏散评估指南。
本部分为GB/T 31593的第5部分。
本部分按照GB/T 1.1-2009给出的规则起草。
本部分使用重新起草法修改采用ISO 16734:2006《消防安全工程 计算公式控制要求 火羽流》。
本部分与ISO 16734:2006相比在结构上有较多调整,附录A中列出了本部分与ISO 16734:2006的章条编号对照一览表。
本部分与ISO 16734:2006的技术性差异是对规范性引用文件做了具有技术性差异的调整,以适应我国的技术条件,调整的情况集中反映在第2章“规范性引用文件”中,具体调整如下:
——用GB/T 5907(所有部分)代替了ISO 13943(见第3章);
——用修改采用国际标准的GB/T 31593.1代替了ISO/TR 13387-3(见5.1、7.3)。
本部分还做了下列编辑性修改:
——删除了国际标准的前言,重新起草了前言;
——修改了国际标准的引言,将其作为本部分的引言;
——将国际标准的资料性附录A编排为本部分的资料性附录B,将国际标准附录中的术语和定义调整到本部分正文的第3章中,删除了部分通用术语的定义,调整了符号的编排格式;
——将国际标准的“本国际标准”一词改为“GB/T 31593的本部分”或“本部分”;
——将国际标准的某些标点符号修改为符合汉语习惯的标点符号。
本部分由中华人民共和国公安部提出。
本部分由全国消防标准化技术委员会建筑消防安全工程分技术委员会(SAC/TC 113/SC 13)归口。
本部分起草单位:公安部天津消防研究所
公安部四川消防研究所
中国科学技术大学
中国建筑科学研究院
本部分主要起草人:韩伟平 郑巍 郭歌 姚松经 毕少颖 智会强 阚强 刘志坚 张玉贤 陆守香 胡忠日 张向阳 邓松华
引 言
本部分所讨论的计算公式适用于设定火灾场景的量化分析,专业人员无须进行繁杂的数值计算,就能够依据这些公式快速判断初步消防安全设计是否需要调整以及如何调整,以满足预期的性能指标要求。这些公式在以下方面已经得到应用:
——测定火羽流传热,包括对流和辐射;
——预测顶棚射流特性以调节探测器的响应时间;
——计算通风口的排烟能力;
——分析分隔空间内的烟气传递和轰燃等火灾危害。
对于火羽流,计算公式可用于估算火焰的尺寸,从而计算出火源与被保护目标之间的安全距离。火羽流计算公式还可用来估算存放有可燃物质的建筑工程内的火焰传播速率,包括水平传播和垂直传播。本部分的附录B给出了准稳态且轴对称火羽流计算公式的应用示例。
GB/T 31593.1规定了运用数学公式进行火灾动力学计算的通用要求,本部分是这些通用要求的具体实践。如果采用数学模型计算火灾发展过程及其产生的后果,本部分所讨论的计算公式可用于对其结论进行校验。
本部分适合从事消防安全工程的专业人员使用,包括消防设计人员、消防救援人员、消防标准规范制定者、保险商、消防安全管理人员,标准使用者需要充分理解本部分给出的计算方法中相关参数的含义和应用条件。
1 范 围
GB/T 31593的本部分规定了火羽流特征值计算公式的应用方法要求,提供了与火羽流计算公式应用相关的下列通用要求:
a) 物理现象的描述;
b) 计算书;
c) 计算公式的局限性;
d) 计算公式的输入参数;
e) 计算公式的适用范围。
本部分适用于建设工程消防性能化设计和评估中火羽流的计算。
2 规范性引用文件
下列文件对于本文件的应用是必不可少的。凡是注日期的引用文件,仅注日期的版本适用于本文件。凡是不注日期的引用文件,其最新版本(包括所有的修改单)适用于本文件。
GB/T 5907(所有部分) 消防词汇
GB/T 31593.1 消防安全工程 第1部分:计算方法的评估、验证和确认(GB/T 31593.1-2015,ISO 16730:2008,MOD)
3 术语和定义
GB/T 5907界定的以及下列术语和定义适用于本文件。
3.1
轴对称 axisymmetric
<火羽流>平均运动方式和平均动力学特征参量(例如平均温升)沿一条垂直中心线对称。
3.2
火羽流 fire plume
由燃烧所产生的浮力形成的向上湍流流动,通常包括下部的燃烧区。
3.3
火焰 flame
火羽流的发光区域。
3.4
喷射火焰 jet flame
受动量支配而不受浮力、外力支配的火焰。
3.5
准稳态 quasi-steady state
火源热释放速率变化引起的其他变化在流场中能立刻显现出来的一种假定状态。
3.6
虚点源 virtual origin
火羽流的虚拟点火源。
注:对于可燃液体的池火而言,如果直径小于或等于10m,虚点源的位置可能在燃烧的燃料表面以上,如果直径为10m~20m(参见B.9),那么虚点源的位置就可能在燃烧的燃料表面以下。
4 物理现象的描述
4.1 火源产生的火羽流是一种复杂的热物理现象,它的状态可能高度瞬时,也可能接近稳态。火羽流由靠近火源的区域和远离火源的区域两部分组成,靠近火源的区域通常存在有焰燃烧(阴燃火灾除外),而远离火源的区域不存在有焰燃烧,只有受浮力控制的向上流动的热气体湍流。火羽流形式受多种环境因素的显著影响,如作为火源(无论是有火焰燃烧还是阴燃)的燃烧物性质及其分布、受限边界类型、空气量的限制或影响程度、风的情况或防火分区内空气运动情况等等。对于液态碳氢化合物在露天、静止(无风)条件下的燃烧,由于上述环境因素的影响可以忽略不计,所以采用数学公式来描述火羽流的问题就得到了简化。
4.2 应采用图表来描述火源类型、流动边界条件(包括对称边界)以及其他适用于分析的场景因素。
4.3 应明确识别需要计算的火羽流特征参数及其适用范围,适当时应包括由相关计算量推导出来的特征参数(如基于能量和质量守恒定律推导出的烟气浓度与气体温度升高值之间的关系)和其他与传递至远离火羽流位置的辐射热相关的特征参数。
4.4 应明确识别具体计算公式适用的火羽流区域(是否存在火焰燃烧,受火源影响的程度如何)。
4.5 不同的计算公式描述了不同的火羽流特征(见4.3)或适用于不同的火羽流区域(见4.4),当有多种方法可用于计算同一个给定量的值时,应明示其结果与选用的计算方法无关。
5 计算书
5.1 计算书的一般要求见GB/T 31593.1。
5.2 计算步骤应由一系列的计算公式表述。
5.3 每个计算公式应由独立的条款表述,其内容应包含公式输出的详细描述,以及该公式的解释性说明和限定条件。
5.4 应明确定义计算公式中的各变量,给出适用的SI单位;计算公式优先选用量关系式。
5.5 应酌情通过引用公认的手册、科技文献或通过推导等方法给出计算公式的科学依据。
5.6 应给出计算公式的应用实例,演示如何使用符合第4章要求的输入参数和具体计算过程。
6 计算公式的局限性
6.1 应给出直接应用计算公式计算输出参数的定量限制条件,并符合第4章所描述场景的要求。
6.2 应给出在更通用的计算方法中使用计算公式的注意事项,包括检查与计算方法中用到的其他关系式的一致性以及所采用的计算方案。例如,在火羽流和顶棚射流相连接的区域内,区域模型计算中,使用火羽流计算公式得到的结果可能与使用顶棚射流计算公式得到的结果不同,从而导致错误。
7 计算公式的输入参数
7.1 应明确识别计算公式的输入参数,如热释放速率或几何尺寸。
7.2 应识别或明确提供输入参数的数据来源。
7.3 应按GB/T 31593.1的规定列出输入参数的有效范围。
8 计算公式的适用范围
8.1 应通过一组或多组测量数据确定公式的适用范围,这些数据应通过文件化的程序或标准(参见GB/T 6379)进行评估并达到一定的质量水平(如重复性、再现性)。
8.2 应按照计算方法的评估、验证和确认原则,通过与8.1测量数据的比对确定计算公式的适用范围。
8.3 计算公式应用于第4章给出的具体场景时,应明确识别其限定条件造成的潜在误差(如假设火源为点状火源)。
附 录 A
(资料性附录)
本部分章条编号与ISO 16734:2006的章条编号对照
表A.1给出了本部分章条编号与IS0 16734:2006的章条编号的对照一览表。
表A.1 本部分章条编号与IS0 16734:2006章条编号对照
本部分章条编号 | 对应的IS0 16734:2006的章条编号 |
3.1 | A.1.1 |
3.2 | A.1.8 |
3.3 | A.1.9 |
3.4 | A.1.12 |
3.5 | A.1.17 |
3.6 | A.1.21 |
— | A.1.2~A.1.7、A.1.10~A.1.11、A.1.13~A.1.16、A.1.18~A.1.20 |
附录A | — |
附录B | 附录A |
B.1 | A.2 |
B.2 | A.3 |
B.2.1~B.2.6 | A.3.1~A.3.6 |
B.3 | A.4 |
B.3.1~B.3.7 | A.4.1~A.4.7 |
B.4 | A.5 |
B.5 | A.6 |
B.5.1~B.5.5 | A.6.1~A.6.5 |
B.6 | A.7 |
B.6.1~B.6.6 | A.7.1~A.7.6 |
B.7 | A.8 |
B.8 | A.9 |
B.8.1~B.8.3 | A.9.1~A.9.3 |
B.9 | A.10 |
注:表中的章条以外的本部分其他章条编号与ISO 16734:2006其他章条编号一致。 |
附 录 B
(资料性附录)
准稳态、轴对称火羽流计算公式
B.1 符号
本附录所用的符号见表B.1。
B.2 物理现象的描述
B.2.1 轴对称火羽流的火焰平均高度和特性
计算了在火焰平均高度及以上位置处轴对称火羽流的火焰平均高度及其他一些特性。
B.2.2 公式适用的场景因素
公式适用于准稳态火源产生的火羽流,准稳态火源是指静态环境条件下在平面区域内大体呈圆形或方形的火源(燃烧不受主动防火保护措施或风的干扰)。该火源应为一个水平且朝上的燃烧表面,或者是一个燃烧的三锥体,其火焰平均高度大于三维燃烧体的高度。符合条件的火源包括室内空间外部的火源和室内空间内部的火源(火源及其火焰均远离室内空间边界)。一个符合条件的火源可以包含有完全卷入火灾的建筑,此时由于火焰燃烧穿透了建筑顶部(如塌陷的屋顶),所以火焰平均高度大于建筑高度。这些场景因素的定量限定条件见B.5。
B.2.3 公式计算的火羽流特征参数
公式可计算火羽流中心轴线(对称轴)上各位置的气体温度和流速,也可依据气体温升和火羽流平均温升值计算火焰平均高度、火羽流卷吸空气质量流速和火羽流特征半径。
B.2.4 公式适用的火羽流区域
火羽流的火焰平均高度以上区域和火焰平均高度以下区域应区别对待,本附录公式仅适用于火羽流的火焰平均高度以上区域。
B.2.5 公式的协调一致性
本附录给出的公式已由G.Heskestad(见B.4)推导并验证,确保了不同公式计算出来的结果保持协调一致(相互之间不矛盾)。
B.2.6 采用公式的标准和其他文献
NFPA 204(参见参考文献[41])在烟气和热量排放的设计计算中采用了式(B.4)、式(B.9)和式(B.18)。
B.3 计算书
B.3.1 火焰平均高度
B.3.1.1 火焰平均高度的无量纲关系式L/D,由式(B.1)~式(B.3)给出(参见参考文献[13]),适用于多种空气环境和燃料条件下发生的建筑工程内火灾。
L/D=-1.02+15.6N1/5………………………………(B.1)
B.3.1.2 在正常大气条件下,即g=9.81m·s-2、cp=1.00kJ(kg·K)-1、ρa=1.2kg·m-3、Ta=293K以及△Hc/s=3000kJ·kg-1(指一些常见燃料的平均值,参见参考文献[38]中的表3-4.19、表3-4.20和表3-4.21,以下本附录涉及到的该数值同理),火焰平均高度L由式(B.4)给出(参见参考文献[9])。
B.3.2 火源基部以上虚点源的高度
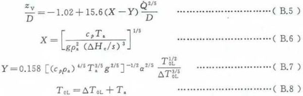
B.3.2.1 虚点源高度的无量纲关系式zV/D,由式(B.5)~式(B.8)给出(参见参考文献[10]),适用于多种空气环境和燃料条件下发生的建筑工程内火灾。
B.3.2.2 在正常大气条件下,即g=9.81m·s-2、cp=1.00kJ(kg·K)-1、ρa=1.2kg·m-3、Ta=293K、α=0.7、△T0L=500K以及△Hc/s=3000kJ·kg-1,虚点源高度zV与、D的关系由式(B.9)给出,该公式对燃料种类的变化不敏感(参见参考文献[10])。
B.3.2.3 在正常大气条件下,即g=9.81m·s-2、cp=1.00kJ(kg·K)-1、ρa=1.2kg·m-3、Ta=293K、△T0L=500K以及△Hc/s=3000kJ·kg-1,虚点源高度zV与、L的关系由式(B.10)和式(B.11)给出,该公式对燃料种类的变化不敏感(参见参考文献[10])。
B.3.3 火焰平均高度及以上位置处的中心轴线平均温升
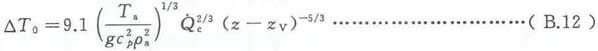
B.3.3.1 火焰平均高度及以上位置处的中心轴线平均温升△T0的无量纲关系式,由式(B.12)给出(参见参考文献[42])。
B.3.3.2 在正常大气条件下,即g=9.81m·s-2、cp=1.00kJ(kg·K)-1、ρa=1.2kg·m-3以及Ta=293K,火焰平均高度及以上位置处的中心轴线平均温升△T0由式(B.13)给出(参见参考文献[37])。
B.3.4 火焰平均高度及以上位置处气体沿中心轴线的平均流速
B.3.4.1 火焰平均高度及以上位置处气体沿中心轴线的平均流速u0的无量纲关系式,由式(B.14)给出(参见参考文献[42])。
B.3.4.2 在正常大气条件下,即g=9.81m·s-2、cp=1.00kJ(kg·K)-1、ρa=1.2kg·m-3以及Ta=293K,火焰平均高度及以上位置处气体沿中心轴线的平均流速u0由式(B.15)给出(参见参考文献[37])。
B.3.5 火焰平均高度及以上位置处的火羽流特征半径
火羽流特征半径(此处的平均温升等于中心轴线平均温升的一半)b△T的无量纲关系式,由式(B.16)给出(参见参考文献[42])。
b△T=0.12(T0/Ta)1/2(z-zV) ………………………………(B.16)
注:气体流速等于中心轴线气体流速一半位置处的火羽流半径,比平均温升等于中心轴线平均温升一半位置的火羽流半径b△T约大10%。
B.3.6 火焰平均高度及以上位置处的火羽流质量流速
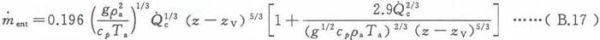
B.3.6.1 火焰平均高度及以上位置处(z≥L)火羽流质量流速的无量纲关系式,由式(B.17)给出(参见参考文献[18])。
B.3.6.2 在正常大气条件下,即g=9.81m·s-2、cp=1.00kJ(kg·K)-1、ρa=1.2kg·m-3以及Ta=293K,火焰平均高度及以上位置处(z≥L)的火羽流质量流速由式(B.18)给出(参见参考文献[37])。
B.3.6.3 取z=L,把由式(B.5)~式(B.8)计算得到的zV代入式(B.17)中,则火焰平均高度处的火羽流质量流速的无量纲关系式,可由式(B.19)给出(参见参考文献[37])。
B.3.6.4 在正常大气条件下,即cp=1.00kJ(kg·K)-1、Ta=293K以及△T0L=500K,根据式(B.19),火焰平均高度处的火羽流质量流速可由式(B.20)给出(参见参考文献[37])。
B.3.7 火焰平均高度及以上位置处的火羽流空间平均温升
火焰平均高度及以上位置处的火羽流空间平均温升△Tave的无量纲关系式,由式(B.21)给出(参见参考文献[37])。
B.4 计算公式的依据
关于轴对称火羽流的理论可以追溯到由Schmidt(参见参考文献[4])、Rouse等人(参见参考文献[5])、Morton等人(参见参考文献[6])以及Yokoi(参见参考文献[7])等学者发表的早期理论,此后Morton(参见参考文献[8])对常见的缺陷进行了改进,而Heskestad(参见参考文献[9])则根据公开发表的试验结论提出了经验系数。有关虚点源(zV)的公式由Heskestad(参见参考文献[10])创建,其他还需要考虑的相关研究工作由Hasemi和Tokunaga(参见参考文献[11])以及Cetegen等人(参见参考文献[12])完成。有关火焰高度的公式可追溯到Heskestad(参见参考文献[13])的研究。在预测卷吸作用方面做出贡献的有Yih(参见参考文献[14])、Thomas等人(参见参考文献[15])、McCaffrey(参见参考文献[16])、Cetegen等人(参见参考文献[17])、Heskestad(参见参考文献[18])、Delichatsios(参见参考文献[19])、Zukoski(参见参考文献[20])、以及Zhou和Gore(参见参考文献[21])。
此外,还有许多研究人员也解决了轴对称火焰中出现的一些问题,这些研究者包括Cox和Chitty(参见参考文献[22])、Dai等人(参见参考文献[23])、Gengembre等人(参见参考文献[24])、George等人(参见参考文献[25])、Heskestad(参见参考文献[26、27、28])、Kung和Stavrianidis(参见参考文献[29])、Mccaffrey(参见参考文献[30])、Orloff(参见参考文献[31])、Orloff和de Ris(参见参考文献[32])、Shabbir和George(参见参考文献[33])、Tamanini(参见参考文献[34])以及Thomas(参见参考文献[35、36])。
B.3.1~B.3.6中公式的依据见Hesestad的文献(参见参考文献[37]),式(B.19)和式(B.20)由Heskestad(参见参考文献[37])根据B.3.1和B.3.2中的公式推导得到。
B.5 计算公式的局限性
B.5.1 火源
计算公式不适用于下列火源:
——受灭火剂影响的火源;
——火源的长宽比大于或等于2的矩形火源;
——空气流动受限的三维火源或火焰平均高度小于火源本身高度的110%的三维火源;
——由喷射火焰构成的火源(如由管道或加压燃料储液罐小孔泄漏造成的火源);
——火焰散布程度较大导致火源区域出现多火羽流的火源。
B.5.2 火焰尺寸
在室内无障碍空间内的火源,当火焰尺寸达到下面任一条件时,计算公式不适用:
——火焰的平均高度L大于室内空间内部垂直高度的50%;
——火源的有效直径D大于室内空间平面最小尺寸的10%。
B.5.3 边界面
在封闭的空间内,当火源本身或其火焰被边界面限制在尺寸为火源直径D的范围内时,计算公式不适用。
B.5.4 气动干扰
当火羽流受到由下列因素引起的气动干扰影响时,计算公式不适用:
——火羽流流场有障碍物阻碍;
——受到机械通风或来自于室内开口自然通风的作用。
B.5.5 输出参数数据
当输出参数数据出现下面任一情况时,计算公式不适用:
——计算得到的平均温升△T0远小于火灾发生前的环境温度随高度增加而引起的温升值(见B.7),如室内空间内的顶部与底部之间由于存在温度梯度而引起的温升;
——计算得到的平均温升△T0大于△T0L。
B.6 计算公式的输入参数
B.6.1 火灾热释放速率
参数的单位为kW,这是在特定环境条件下火灾的实际热释放速率值。该参数采用量热计通过测量收集的气体产物中氧气、二氧化碳和一氧化碳的产生速率进行测量,或者以其他方法给出。该参数通常从设定火灾场景中获得。有关火灾热释放速率以及火灾热量测定的其他相关信息可参见Tewarson的研究成果(参见参考文献[38])和Babrauskas的研究成果(参见参考文献[39])。
B.6.2 对流热释放速率份数
对暴露在外的固体表面或在油池中燃烧的液体燃料而言,无量纲参数α(对流热释放速率份数)的取值范围通常为0.6~0.7;但对氧化性液体燃料或小分子量的气体燃料,此参数可以取值为0.8或者更大。对于三维火源,此参数在火灾增长的早期阶段远小于前述范围值,而后随着火灾增长至更高阶段,此参数也提高至0.6~0.7之间。此参数通常从设定火灾场景中获得,其他相关信息可参见Tewarson的研究成果(参见参考文献[38])。
B.6.3 火源的直径
参数D的单位为m,是圆形火源的直径。此参数通常从设定火灾场景中获得。对于矩形的火源,取具有同等面积As(单位为m2)的圆形火源的直径作为其等效直径D,通过式(B.22)计算得到。
B.6.4 火羽流中的高度
火羽流中的高度参数z的单位为m,通常从设定火灾场景中获得。
B.6.5 单位空气质量的燃烧热
此参数表示为△Hc/s,单位为kJ·kg-1,特定聚合物材料和其他材料的△Hc/s值可从Tewarson的研究成果(参见参考文献[35])、Babrauskas的研究成果(参见参考文献[39])和《化学工程师手册》(参见参考文献[40])中查到。如果一些燃料的△Hc/s参数值没有参考文献可提供数据,则需要通过实验,采用量热计测量值△Hc,通过元素分析确定s值后,再进行计算得到。
B.6.6 输入参数的有效范围
热释放速率参数和火源直径参数D应符合式(B.23)给出的不等式条件要求,该不等式的依据信息可参见Mccaffrey的研究成果(参见参考文献[30])。
火羽流中的高度参数z的有效取值范围通常是在火焰平均高度值与室内空间顶部高度值之间,或者是在火焰平均高度值与平均温升符合B.7要求对应的z值之间。
B.7 计算公式的适用范围
本附录使用公式的适用范围可通过B.4中给出的计算依据文献确定。
为了保持公式满足上述适用范围,应限制火源周围环境的温度梯度。因此,火源基部以上高度z处的环境温度(Ta)z与火焰基部附近的环境温度(Ta)z=0应符合式(B.24)给出的不等式条件要求(参见参考文献[37])。
(Ta)z-(Ta)z=0<7△T0………………………………(B.24)
B.8 计算示例
B.8.1 火焰高度
假设有一个直径为1.8m的圆形油盘着火,油盘里可燃液体的热释放速率为2500kW·m-2。环境条件基本为正常大气条件(空气压力为101.3kPa,空气温度为293K),火焰平均高度L(单位为m)可由式(B.4)计算得到:
L=-1.02×1.8+0.235×(2500×π×1.82/4)2/5=5.97
B.8.2 虚点源的位置
假设火源为B.8.1所述的油盘火。由于热释放速率已知,所以虚点源的位置zV(单位为m)可由式(B.9)计算得到:
zV=-1.02×1.8+0.083×(2500×π×1.82/4)2/5=0.921
计算结果表明,虚点源的位置位于火焰基部以上的0.921m高度处。结合本例实际,也就是说虚点源的位置位于可燃液体表面以上的0.921m高度处。
B.8.3 火焰平均高度及以上位置处的平均温升
假设B.8.1所述油盘火的热释放速率的对流热份数α取值为0.7,则在可燃液体表面以上9m高度处的火羽流中心轴线平均温升值(相对于环境温度)可由式(B.13)计算得到:
△T0=25×(0.7×2500×π×1.82/4)2/3×(9-0.921)-5/3=208(K)
因此,在火焰平均高度以上约3m处的气体最高平均温度为208+(293-273)=228(℃)。
B.9 示意图
准稳态、轴对称火羽流特征参数图解见图B.1,火羽流剖面图见图B.2。
参 考 文 献
[1] GB/T 6379(所有部分) 测量方法与结果的准确度
[2] ISO/TR 13387-3:1999 Fire safety engineering——Part 3:Assessment and verification of mathematical fire models
[3] ISO 13943:2008 Fire safety—Vocabulary
[4] Schmidt,W.,"Turbulente Ausbreitung eines Stromes erhitzer Luft,"Z. Angew.Math.Mech.,Vol.21,pp.265-278,351-363.
[5] Rouse,H.,Yih,C.S.and Humphreys,H.W.,"Gravitational Convection from a BoundarySource,"Tellus,Vol.4,pp.201-210,1952.
[6] Morton,B.R.,Taylor,G.I.and Turner,J.S.,"Turbulent Graviational Convection from Maintained and Instantaneous Sources,"Proc.R.Soc.London, Vol.A234,pp.1-23,1956.
[7] Yokoi,S.,Report No.34,Building Research Institute of Japan,1960.
[8] Morton,B.R.,"Modeling of Fire Plumes,"Tenth Symp.(Int.) on Combustion,The Combustion Institute,Pittsburgh,USA,pp.973-982,1965.
[9] Heskestad,G.,"Fire Plumes,"SFPE Handbook of Fire Protection Engineering (ed.P.J.DiNenno),Society of Fire Protection Engineers,Boston,USA,pp.1-107-1-115,1988.
[10] Heskestad,G.,"Virtual Origins of Fire Plumes,"Fire Safety Jl.,Vol.5, pp.109-114,1983.
[11] Hasemi,Y.,and Tokunaga,T.,"Flame Geometry Effects on the Buoyant Plumes from Turbulent Diffusion Flames,"Fire Sci.Technol.,Vol.4,pp.15-26,1984a.
[12] Cetegen,B.M.,Zukoski,E.E.,and Kubota,T.,"Entrainment in the Near and Far Field ofFire Plumes,"Combust.Sci.Technol.,Vol.39,pp.305-331,1984.
[13] Heskestad,G.,"Luminous Heights of Turbulent Diffusion Flames,"Fire Safety Jl.VoL.5,pp.103-108,1983.
[14] Yih,C.S.,"Free Convection Due to a Point Source of Heat,"Proc.1stUS National Congress of Applied Mechanics,pp.941-947,1952.
[15] Thomas,P.H.,Baldwin,R.and Heselden,A.J.M.,"Buoyant Diffusion Flames:Some Measurements of Air Entrainment,Heat Transfer and Flame Merging," Tenth Symp.(Int.) on Combusiton,The Combustion Institute,Pittsburgh,USA, pp.983-996,1965.
[16] McCaffrey,B.J.,"Purely Buoyant Diffusion Flames:Some Experimental Results,"NBSIR79-1910,National Bureau of Standards,Washington,DC,USA,1979.
[17] Cetegen,B.M.,Zukoski,E.E.and Kubota,T.,"Entrainment and Flame Geometry of FirePlumes,"Report G8-9014,California Institute of Technology,Daniel and Florence Guggenheim JetPropulsion Center,Pasadena,USA,1982.
[18] Heskestad,G.,"Fire Plume Air Entrainment According to Two Competing Assumptions,"Twenty-first Symp.(Int.) on Combustion,The Combustion Institute,Pittsburgh,USA,pp.111-120,1986.
[19] Delichatsios,M.A.,"Air Entrainment into Buoyant Jet Flames and Pool Fires,"Combustionand Flame,Vol.70,pp.33-46,1987.
[20] Zukoski,E.E.,"Mass Flux in Fire Plumes,"Fire Safety Science—Proc. Fourth Int.Symposium (ed.T.Kashiwagi),International Association for Fire Safety Science,pp.137-147,1994.
[21] Zhou,X.C.and Gore,J.P.,"Air Entrainment Flow Field Induced by a Pool Fire,"Combustion and Flame,Vol.100,pp.52-60,1995.
[22] Cox,G.and Chitty,R.,"A Study of the Deterministic Properties of Unbounded FirePlumes,"Combustion and Flame,Vol.39,pp.191-209,1980.
[23] Dai,Z.,Tseng,L.K.and Faith,G.M.,"Structure of Round,Fully Developed,Buoyant Turbulent Plumes,"J.Heat Transfer,Vol.l16,pp.409-417,1994.
[24] Gengembre,E.,Cambray,P.,Karmed,D.and Bellet,J.C.,"Turbulent Diffusion Flames with Large Buoyancy Effects,"Combustion Sci.And Technology, Vol 41,pp.55-67,1984.
[25] George,W.K.,Alpert,R.L.and Tamanini,F.,"Turbulence Measurements in anAxisymmetric Buoyant Plume,"Int.J.Heat and Mass Transfer,Vol.20,pp.1145-1154,1977.
[26] Heskestad,G.,"Note on Maximum Rise of Fire Plumes in Temperature-Stratified Ambients,"Fire Safety Jl.,Vol.15,pp.271-276,1989.
[27] Heskestad,G.,"A Reduced-Scale Mass Fire Experiment,"Combustion and Flame,Vol.83,pp.293-301,1991.
[28] Heskestad,G.,"Fire Plume Behavior in Temperature Stratified Ambients," Combustion Sci.and Technology,Vol 106,pp.207-228,1995.
[29] Kung,H.C.and Stavrianidis,P.,"Buoyant Plumes of Large-Scale Pool Fires,"Nineteenth Symp.(Int.) on Combustion,The Combustion Institute,Pittsburgh,USA,pp.905-912,1983.
[30] Mccaffrey,B.J.,"Flame Height,"SFPE Handbook of Fire Protection Engineering,2ndediton (ed.P.J.DiNenno),Society of Fire Protection Engineers,Boston,USA,pp.1-298-1-305,1995.
[31] Orloff,L.,"Simplified Radiation Modeling of Pool Fires,"Eighteenth Symp.(Int.) on Combustion,The Combustion Institute,Pittsburgh,USA,pp.549-561,1981.
[32] Orloff,L.and de Ris,J.L.,"Froude Modeling of Pool Fires,"Nineteenth Symp.(Int.) on Combustion,The Combustion Institute,Pittsburgh,USA,pp.885-895,1982.
[33] Shabbir,A.and George,W.K.,"Experiments on a Round Turbulent Buoyant Plume,"J.Fluid Mech.,Vol.275,pp.1-32,1994.
[34] Tamanini,F.,"Direct Measurements of the Longitudinal Variation of Burning Rate and Product Yield in Turbulent Diffusion Flames,"Combustion and Flame,Vol.51,pp.231-243,1983.
[35] Thomas,P.H.,"The Size of Flames from Natural Fires,"Ninth Symp.(Int.) on Combustion,The Combustion Institute,Pittsburgh,USA,pp.844-859,1968.
[36] Thomas,P.H.,Hinkley,P.L.,Theobald,C.R.and Sims,D.L.,"Investigation into the Flow of Hot Gases in Roof Venting,"Fire Technical Paper No.7,Joint Fire Research Organisation,London,HMSO,1968.
[37] Heskestad,G.,"Fire Plumes,Flame Height and Air Entrainment,"SFPE Handbook of Fire Protection Engineering (ed.P.J.DiNenno),3rd Edition, National Fire Protection Association,Quincy 02269 USA,pp.2-1 to 2-17,2002.
[38] Tewarson,A.,"Generation of Heat and Chemical Compounds in Fires,"SFPE Handbook of Fire Protection Engineering (ed.P.J.DiNenno),3rd Edition, National Fire Protection Association,Quincy 02269 USA,pp.3-82 to 3-161,2002.
[39] Babrauskas,V.,"Heat Release Rates,"SFPE Handbook of Fire Protection Engineering (ed.P.J.DiNenno),3rd Edition,National Fire Protection Association,Quincy 02269 USA,pp.3-1 to 3-37,2002.
[40] Perry's Chemical Engineers' Handbook (ed.D.W.Green),7thEdition,McGraw-Hill,New York,USA,1997.
[41] NFPA 204,"Standard for Smoke and heat Venting,"2002 edition,National Fire Protection Association,Quincy 02269 USA,Clause 9.2.3,2002.
[42] Heskestad,G.,Fire Safety Jl,Vol.7,p.25,1984.
免责申明:本站所有资源均通过网络等公开合法渠道获取,该资料仅作为阅读交流使用,并无任何商业目的,其版权归作者或出版方所有,本站不对所涉及的版权问题负任何法律责任和任何赔偿,在本站咨询或购买后默认同意此免责申明;
法律责任:如版权方、出版方认为本站侵权,请立即通知本站删除,物品所标示的价格,是对本站搜集、整理、加工该资料以及本站所运营的费用支付的适当补偿,资料索取者(顾客)需尊重版权方的知识产权,切勿用于商业用途,信息;
朝阳区酒仙桥北路7号改造项目-加固、采光顶、雨棚工程-公开招标公告
朝阳区酒仙桥北路7号改造项目-加固、采光顶、雨棚工程-公开招标公告(招标编号:XDGJ2024110101)招标项目所在地区:北京市一、招标条件本朝阳区酒仙桥北路7号改造项目...
2025-05-19
『GB T51190-2016』海底电力电缆输电工程设计规范
中华人民共和国国家标准海底电力电缆输电工程设计规范CodefordesignofsubmarinepowercableprojectGB/T51190-2016主编部门:中国电力企业联合会批准部门:中华人民共和...
2025-05-19
『JGJ T399-2016』城市雕塑工程技术规程
中华人民共和国行业标准城市雕塑工程技术规程TechnicalspecificationforpublicsculptureprojectconstructionJGJ/T399-2016批准部门:中华人民共和国住房和城乡建设...
2025-05-19
『GB T18208.4-2011』地震现场工作 第4部分:灾害直接损失评估
中华人民共和国国家标准地震现场工作第4部分:灾害直接损失评估Post-earthquakefieldworks-Part4:AssessmentofdirectlossGB/T18208.4-2011发布部门:中华人民共和国国...
2025-05-19
『GB T18802.21-2016』低压电涌保护器 第21部分:电信和信号网络的电涌保护器(SPD)性能要求和试验方法
中华人民共和国国家标准低压电涌保护器第21部分:电信和信号网络的电涌保护器(SPD)性能要求和试验方法Low-voltagesurgeprotectivedevices—Part21:Surgeprotective...
2025-05-19
『JGJ128-2010』建筑施工门式钢管脚手架安全技术规范
中华人民共和国行业标准建筑施工门式钢管脚手架安全技术规范TechnicalcodeforsafetyofframescaffoldingswithsteeltubulesinconstructionJGJ128-2010批准部门:中华...
2025-05-19