中国工程建设协会标准
地道风建筑降温技术规程
Technical specification for space cooling by earth-cooled air
CECS 340:2013
主编单位:同 济 大 学
批准单位:中国工程建设标准化协会
施行日期:2013年8月1日
中国工程建设标准化协会公告
第137号
关于发布《地道风建筑降温技术规程》的公告
根据中国工程建设标准化协会《关于印发<2010年第二批工程建设协会标准制订、修订计划>的通知》(建标协字[2010]91号)的要求,由同济大学等单位编制的《地道风建筑降温技术规程》,经本协会组织审查,现批准发布,编号为CECS 340:2013,自2013年8月1日起施行。
中国工程建设标准化协会
二〇一三年五月六日
前 言
根据中国工程建设标准化协会《关于印发<2010年第二批工程建设协会标准制订、修订计划>的通知》(建标协字[2010]91号)的要求,标准编制组经广泛调查研究,认真总结各地实践经验,参考有关国内外标准,并在广泛征求各方意见的基础上,制定本规程。
本规程共5章和1个附录,主要内容包括:总则,术语,设计,施工与验收,运行管理。
根据原国家计委计标[1986]1649号文《关于请中国工程建设标准化委员会负责组织推荐性工程建设标准试点工作的通知》的要求,推荐给工程建设设计、施工等使用单位和工程技术人员采用。
本规程由中国工程建设标准化协会归口管理,由同济大学(地址:上海市杨浦区四平路1239号,邮政编码:200092)负责解释。在使用中如发现需要修改和补充之处,请将意见和资料寄至解释单位。
主编单位:同济大学
参编单位:广州大学
上海同悦节能科技有限公司
上海市建筑科学研究院
上海戎源环境科技有限公司
北京矿大节能科技有限公司
珠海兴业绿色建筑科技有限公司
主要起草人:谭洪卫 季亮 雷勇 庄智 陈淑琴 周孝清 秦朝葵 牛永胜 王建学 李进 张玲
主要审查人:张国强 吴喜平 叶海 王立雄 陈金华 郁松涛 符立伟
1 总 则
1.0.1 为贯彻执行国家的可持续发展战略,大力发展利用自然能源与天然冷源、可再生能源,规范地道风工程,制定本规程。
1.0.2 本规程适用于夏季有降温需求进行地道风工程的设计、施工及运行管理。
1.0.3 在进行地道风设计、施工、管理时,除应符合本规程外,尚应符合国家现行有关标准的规定。
2 术 语
2.0.1 地道 underground tube
设置在地下一定深度、用于空气流动的通道,主要采用土建砌筑或预制埋管两种方式构建。
2.0.2 地道风 earth-cooled air
经过地道利用土壤蓄热特性进行降温的空气。
2.0.3 轴心深度 axis height
地道横截面的几何轴心至地面的垂直距离。
2.0.4 土壤计算温度 earth temperature for calculation
室外气温最高日的地道轴心深度处的平均土壤温度。
2.0.5 长地道 long underground tube
L>50de的地道。L为地道轴向总长度,de为地道当量直径。对变截面地道,de为平均当量直径。
3 设 计
3.1 一般规定
3.1.1 地道风工程严禁选取在地下土壤有害物质超标或地下水受到污染的地区。地道周边的地下水水质应达到地下水Ⅲ类标准。
3.1.2 不应在上方存在荷载的情况下或有高大乔木的3m范围内开挖地道,确有荷载情况下,应对其结构安全进行计算。
3.1.3 对新建建筑,宜结合土建结构进行统筹设计。
3.1.4 对既有建筑,地道应避开建筑桩基和其他重要结构部件,严禁影响建筑主体结构。
3 设 计
3.1 一般规定
3.1.1 地道风工程严禁选取在地下土壤有害物质超标或地下水受到污染的地区。地道周边的地下水水质应达到地下水Ⅲ类标准。
3.1.2 不应在上方存在荷载的情况下或有高大乔木的3m范围内开挖地道,确有荷载情况下,应对其结构安全进行计算。
3.1.3 对新建建筑,宜结合土建结构进行统筹设计。
3.1.4 对既有建筑,地道应避开建筑桩基和其他重要结构部件,严禁影响建筑主体结构。
3.2 设计参数
3.2.1 室内计算温度应按下列规定选取:
1 在寒冷地区,夏季室内空气设计温度应取27℃~29℃;
2 在夏热冬冷地区和夏热冬暖地区,应按夏季室内外温差大于3℃选取。
3.2.2 室外计算温度应按现行国家标准《民用建筑供暖通风与空气调节设计规范》GB 50736中的室外通风计算温度选取。
3.2.3 地道主截面设计风速宜为2m/s~4m/s。
3.2.4 地道风出口设计温度应按表3.2.4选取。
表3.2.4 地道风出口设计温度计算
3.2.5 送风量应根据现行国家标准《民用建筑供暖通风与空气调节设计规范》GB 50736确定的室内负荷计算。
3.2.6 地道截面面积应根据送风量和截面风速确定。
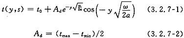
3.2.7 土壤计算温度宜按当地的实际数据采用。当无相应测试数据时,应按下列公式进行计算:
式中:y——土壤深度(m);
t(y,s)——在夏季气温最高时刻y深度的土壤温度(℃);
t0——土壤表面全年平均温度,该温度等于全年年平均气温(℃);
Ad——土壤表面温度的全年波动幅度(℃);
ω——温度波动的频率(rad/h),取0.000717rad/h;
a——土壤的导温系数(m2/h);
tmax——全年气温最高温度;
tmin——全年气温最低温度。
3.3 系统设计
3.3.1 土建地道轴心深度宜为2m~6m,且不宜低于当地地下水水位,当低于地下水位时应有防水措施或采用埋管地道方式,埋管地道应能防止酸碱腐蚀,且为不燃材料。
3.3.2 地道走向宜采用U型布置。当采用S型布置时,相邻地道管管壁之间的间距,应大于地道截面当量直径的2倍。
3.3.3 地道长度的计算应符合下列规定:
1 对于连续运行的地道,地道的换热面积可按下式计算:
式中:F——地道换热面积(m2);
c——空气比热[J/(kg·℃)],可取1010J/(kg·℃);
G——空气质量流量(kg/s);
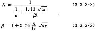
K——传热系数[W/(m2·℃)];
t0——地道轴心深度处土壤温度(℃);
t1——地道风进口温度(℃);
t3——地道风出口温度(℃);
α——管内对流换热系数[W/(m2·℃)];
β——形状修正系数;
U——地道横断面周界长度(m);
a——导温系数(m2/h);
τ——供冷期连续运行的时间(h);
λ——导热系数[W/(m·℃)],可按附录A采用。
2 对间歇运行的地道,地道的换热面积可按下式计算:
式中:K0——修正传热系数[W/(m2·℃)];
t0p——修正土壤温度(℃);
B——间歇运行修正系数。
对常见的每天1/3时间,休息2/3时间的工况而言,B可按表3.3.3采用。
表3.3.3 间歇运行修正系数
3 在场地条件允许情况下,地道长度应比计算值增加10%。
3.3.4 土建地道的防水设计,应达到地下工程防水等级的三级标准,并宜加制一层防水抹面。
3.3.5 地道应具有一定的坡度,坡向可朝进风方向并应大于0.01,在坡度最低处应设置储水坑,储水坑应可储存连续运行7d的冷凝水。冷凝水水量计算应按设计运行时间及风量进行计算,并按地道内土壤温度+3℃确定露点温度和除湿量。应设置定期人工排水装置或自动排水泵。
3.3.6 地道风的进风口设计应符合下列规定:
1 进风口距离地面的高度不宜小于1m。当设在绿化地带时,不宜小于0.5m。进风口宜选取在不易被污染的阴凉区域。
2 地道风进口应做好防雨、防尘、防虫措施,并设置方便拆洗、维修、更换的粗效过滤装置。
3 进风口设计应方便定期清扫。
3.3.7 地道宜设计通往户外下风方向处的旁通风道。不便设计旁通风道的,通风系统应设计成可以反向通风的形式。
3.3.8 地道风的风机宜采用可双向运转的轴流风机。风机不宜设在地道内,可设在地道尽头向上拐弯进入室内的地上部分处。
3.3.9 在室内宜设置手动的风量调节装置,与风量调节结构联动。
4 施工与验收
4.1 施 工
4.1.1 地道内的风阀,其活动件、固定件以及紧固件均应采取镀锌或做其他防腐处理。
4.1.2 地道的进风口附近应保持洁净,地道进风口下方应有照明。施工完毕后应以最大风量对地道进行反向吹扫,并在进风口下方进行人工清扫,清扫完毕后应在进风口安装防虫网装置。
4.1.3 回填时应先用细土回填密实缝隙并浇水,待48h自然沉降后进行回填。
4.1.4 工程完工后,应提供地道风工程竣工图。
4 施工与验收
4.1 施 工
4.1.1 地道内的风阀,其活动件、固定件以及紧固件均应采取镀锌或做其他防腐处理。
4.1.2 地道的进风口附近应保持洁净,地道进风口下方应有照明。施工完毕后应以最大风量对地道进行反向吹扫,并在进风口下方进行人工清扫,清扫完毕后应在进风口安装防虫网装置。
4.1.3 回填时应先用细土回填密实缝隙并浇水,待48h自然沉降后进行回填。
4.1.4 工程完工后,应提供地道风工程竣工图。
4.2 验 收
4.2.1 地道壁应光滑平整,不应存在显著的凹凸不平,除储水坑外,管壁底部不应积水。
4.2.2 地道应具有一定的坡度,坡度应能保证冷凝水在地道风运行情况下流向储水坑。
4.2.3 采用埋管地道的方式施工时,地道埋管前,应对管材、阀件等金属材料的防腐性能做检验。
4.2.4 地道风工程风系统施工完毕后,应对系统进行调试。
5 运行管理
5.0.1 正常运行期间,对有旁通风道的地道,旁通风道在正常运行状态下应关闭。地道宜每隔1个月吹扫一次,并排除储水坑的冷凝水积水。
5.0.2 地道吹扫应符合下列规定:
1 正常运行期间的定期吹扫,应关闭室内风口,开启旁通风道,进行3h以上最大风量情况下的通风吹扫。
2 长期停止使用后,下一个正常运行期开始前,应进行吹扫。应在地道使用前,进行灭虫、灭鼠和消毒处理,处理完毕后再进行连续6h以上的最大风量情况下的通风吹扫。
3 对没有旁通风道采用轴流风机的系统,应使风机逆向运转,使从室内吸入空气,从原进风口排风,进行6h以上的通风吹扫。
4 供冷期结束后,应进行2h反向通风或旁通吹扫,并关闭进出风口。在冬季室外空气干燥时,可重复一次第1~4款的操作。
5.0.3 进风口附近应定期打扫,并定期清理防虫网等部件。
5.0.4 在非农村地区其他建筑中的地道风工程应增设运行监测设备,监测地道内各相关参数状态,保证地道稳定安全运行。
附录A 岩土热物性参数
表A 岩土热物性参数
本规程用词说明
1 为便于在执行本规程条文时区别对待,对要求严格程度不同的用词说明如下:
1)表示很严格,非这样做不可的:
正面词采用“必须”,反面词采用“严禁”;
2)表示严格,在正常情况下均应这样做的:
正面词采用“应”,反面词采用“不应”或“不得”;
3)表示允许稍有选择,在条件许可时首先应这样做的:
正面词采用“宜”,反面词采用“不宜”;
4)表示有选择,在一定条件下可以这样做的,采用“可”。
2 条文中指明应按其他有关标准执行的写法为:“应符合……的规定”或“应按……执行”。
引用标准名录
《民用建筑供暖通风与空气调节设计规范》GB 50736
中国工程建设协会标准
地道风建筑降温技术规程
CECS 340:2013
条文说明
1 总 则
1.0.1 随着我国城镇化不断发展,经济水平和人民生活水平不断提高,资源和能源消耗迅速增长,减排减碳的压力也逐渐增大。为此,我国提出了以人为本、可持续发展的目标。一方面要让经济发展切实地提高人民的生活水平,一方面又要减少排放和环境污染。这个目标的内在要求是,一方面需要提高建筑用能系统的效率,另一方面需要开拓新的非化石燃料的能源为人民的生产和生活服务。地下浅层土壤由于其常年土壤温度恒定,有“冬暖夏凉”的特点,合理利用地下土壤为空气降温,是低成本、低能耗的空调技术。为规范地道风工程,发展低成本的空调技术,制定本标准。
1.0.2 在中国五大气候区中的三个气候区中(夏热冬冷地区、夏热冬暖地区、寒冷地区),夏季气温较高,空调降温的需求明显,且土壤温度在夏季相对较低,采用地道土壤对空气进行降温后送入室内,可以改善室内原有的无空调情况下的温热环境。尽管地道风本身可以制冷降温,但地道风工程由于土壤本身制冷能力有限,且地道处理后的送风和空调制冷相比,其制冷能力和控制精度均较差,并且需要较大的场地构建地道,因此作为一种低成本技术,主要面向农村地区的低密度居住建筑。非农村地区的间歇性运行的建筑应用地道风时,应根据建筑的冷热需求和地道风的特点进行技术综合分析。
1.0.3 本规程主要针对地道风工程进行规范,与地道风工程相关的其他工程应符合现行国家标准《民用建筑供暖通风与空气调节设计规范》GB 50736、《地下水质量标准》GB/T 14848和《人民防空地下室设计规范》GB 50038及其他相关标准规定,以及有关国家法律法规的要求。
2 术 语
2.0.1 地道风工程分为土建风道和埋管风道。两者的主要区别为是否会产生水汽渗透。土建地道主要指用砖砌或混凝土浇筑的地道,也包括预制的混凝土管,它们均无法完全隔绝地下水渗透。埋管地道主要指将不锈钢管道、PVC管道等埋入挖好的地下坑道中,空气在管道中流动不直接和土壤接触,埋管地道可以良好地隔绝地下水。
2.0.4 地下土壤的温度随时间和深度变化而呈现出不同的变化。地下土壤的温度是地道风工程设计计算的重要基础参数之一。在夏季室外气温最高的情况下(假定是7月31日),地下5m深处的土壤温度并不是全年的最高值,反而在随后的10月、11月出现全年的土壤温度最高值,但在7月、8月的夏季,室外气温为最高值,气-土壤之间换热温差最大,且地道风主要是为夏季降温服务的,因此采用夏季的土壤平均温度作为土壤计算温度,也可将这个术语理解为7月31日或8月1日的土壤温度。
2.0.5 长地道可以确保地道内的气流混合均匀,换热均匀。长地道有利于进入地道内的空气和土壤充分接触降温,直至满足设计要求的送风温度。
3 设 计
3.1 一般规定
3.1.1 本条是为了确保地道风工程的健康安全。对地道风工程的安全而言,主控参数是有害污染物。室外灰尘和微小的昆虫等农村地区常见昆虫不会对健康和卫生安全造成严重影响,因此不做特别要求。只要地道周围的地下水不受危险的化学物质、物理物质(重金属等)和放射性物质污染,地道风对人体健康而言,是安全的。地下水Ⅲ类标准的具体参数指标,可参见现行国家标准《地下水质量标准》GB 14848。
3.1.2 高大乔木的根系扩张能力非常强,根系的扩张会破坏地道结构。重荷载也可能会破坏地道结构。
3.1.3 对于新建建筑,可充分利用建筑地面以下的基础桩基之间的空隙部分,构建迂回曲折的地下风道,可以减少额外开挖地道的长度,可以节约开挖成本。
3.1.4 本条是为了确保建筑本身的结构安全。
3 设 计
3.1 一般规定
3.1.1 本条是为了确保地道风工程的健康安全。对地道风工程的安全而言,主控参数是有害污染物。室外灰尘和微小的昆虫等农村地区常见昆虫不会对健康和卫生安全造成严重影响,因此不做特别要求。只要地道周围的地下水不受危险的化学物质、物理物质(重金属等)和放射性物质污染,地道风对人体健康而言,是安全的。地下水Ⅲ类标准的具体参数指标,可参见现行国家标准《地下水质量标准》GB 14848。
3.1.2 高大乔木的根系扩张能力非常强,根系的扩张会破坏地道结构。重荷载也可能会破坏地道结构。
3.1.3 对于新建建筑,可充分利用建筑地面以下的基础桩基之间的空隙部分,构建迂回曲折的地下风道,可以减少额外开挖地道的长度,可以节约开挖成本。
3.1.4 本条是为了确保建筑本身的结构安全。
3.2 设计参数
地道风设计的主要任务,是根据需要的室内参数和已知的室外参数,确定出地道的换热面积,并根据地道的换热面积以及场地实际情况,灵活合理地布置地道截面周长和地道长度。本节根据实际的设计经验和相关参考文献,给出地道基本设计参数。
3.2.1 由于寒冷地区的土壤温度相对较低,合理设计的地道有能力将室外空气处理到较低的送风温度。例如:在山东青岛地区的某地道,在典型的晴朗夏日,一个间歇使用的地道可以将室外气温处理到20℃左右。因此,可以按照比空调室内设定温度略高的要求来计算地道的送风温度和送风量。由于地道风主要面向农村地区,室内设计温度的要求相对稍低,且地道风是全新风运行,因此室内温度的设定值,可以比一般的空调室内设定温度高1℃~3℃。而且可通过布置良好的气流组织,在室内的人员活动区保持一定的风速,仍然可以感觉到非常舒适。而对于夏热冬冷地区和夏热冬暖地区,一方面土壤温度相对较高,另一方面室外气温较为炎热,因此地道空气出口温度可能无法满足设定的室内温度。因此从实际条件和需要出发,控制室内外温差3℃~5℃,并通过合理的气流组织布置,在人员活动区保持一定的风速,也能使室内环境较为舒适。
3.2.2 地道风工程是低成本的改善环境的技术,不宜采用现行国家标准《民用建筑供暖通风与空气调节设计规范》GB 50736进行严格规范。因此宜采用室外通风计算温度,而非空调室外计算温度。
3.2.3 地道主截面的设计风速既不宜太大,也不宜太小。太大不利于空气充分接触地道壁进行换热,太小则单位截面积通风量不足,不能满足室内降温的需要,参考相关实际工程的设计经验数据,推荐为2m/s~4m/s。
3.2.4~3.2.6 这三条条文给出了确定各参数的计算方法。
3.2.7 土壤温度是地道风设计计算的最基础参数。了解土壤温度,就可以推算地道的换热能力。一般地,土壤深度越深,土壤温度的延迟就越大,波幅就越小。例如,在中等湿度常见的腐殖质土壤,地下6m处的土壤温度,大约延迟120d~150d,也就是说,7月的土壤温度,是由3月、4月的空气温度所影响的。另外,6m深度的土壤,波幅也相对较小,可以在整个供冷期获得良好的通风降温效果。一般地,对于较浅层(深度<3m)的土壤,到供冷期的后半段(9月)的时候,土壤温度就已经相对7月时较高,但此时对制冷能力的要求也相应降低了。因此为了计算的方便,本规程所提供的公式中并不计算不同时间下的土壤温度,仅计算全年室外气温最高时刻的土壤温度。因此,也可以将上述公式理解为是7月31日或8月1日的土壤温度的表达式。
公式(3.2.7-2)的tmax和tmin值可以在常见的气象数据资料中查到。
3.3 系统设计
3.3.1 地道越深,地下土壤的温度波动就越小,夏季的土壤温度相对较低,有利于地道风换热能力提高,从而提高制冷能力,并且地道越深,含水量越丰富,越有利于提高换热系数。一般在夏季的白天,地下1.5m以下的土壤温度要比地表气温低7℃~10℃,地下5m处的土壤温度要比地表气温低12℃~15℃。地下6m以下再往深处后,土壤温度的全年波动值小于3℃。此时,再向下深挖地道一方面增加开挖土方量,增加了施工量和施工成本,另一方面增加地下水水位高出地道的风险,可能会积水成井或成湖,阻塞并损坏地下风道,因此不推荐地道轴心深度过深。若构筑的地道确实有必要低于地下水位时,需要对地道壁构筑防水良好的砌体,防止地下水渗透入地下风道。也可以采用耐腐蚀、换热性能较好、防水的管材进行间接换热的方式构筑地下风道。但是间接换热的方式也有优点,尽管它会增加初投资,但由于地下水水位高于地道轴心,地道周壁的土壤的热堆积效应容易被地下水带走,缓解热堆积效应,保持地道换热能力。
3.3.2 本条规定了地道形状和走向的设计方法。推荐采用一次回转的U型走向的长地道,也可以采用多次回转的S型走向。S型走向的布置,可以最大限度利用场地,但S型走向的地道布置也会增加地道风的运行阻力,增大风机的运行能耗和运行噪音。采用S型布置的情况下,为了避免相邻地道管之间的土壤积热无法及时排出,对管壁间距作了规定。
3.3.3 通过选定的设计参数,计算出地道长度,是地道风工程设计计算的核心部分。应当根据设计完成后的地道几何参数,重新核算换热能力,计算送风温度。
3.3.4 地道防水设计的规定参考了现行国家标准《地下工程防水设计规范》GB 50108。寒冷和夏热冬冷地区的地道会产生大量冷凝水,因此为保护砌体,宜加制一层防水抹面以保护砌体寿命。
3.3.5 室外空气湿度较大或地道土壤温度和室外温度的温差较大时,地道内会有结露现象,因此需要使地道具有一定的坡度,使凝结水得以及时排走。因为地道风进风口附近可以设计得较大,方便人员进入,也方便插入水泵取水管,因此建议坡向朝送风口方向,将储水坑设置在进风口的竖井下方,方便在取风口竖井处直接对地道进行维护。
3.3.6 地道风的进风口不宜设置在地面,以避免吸入地面尘土及落叶。在有条件的情况下,若能利用树荫遮蔽采风口,一方面可以提高空气品质,一方面地道风进风的入口空气温度也会有所降低,有利于提高地道出口空气的降温能力。
农村地区的主要空气污染物一般是灰尘。但由于地道壁一般是湿润状态,灰尘很容易被捕获,因此无需针对灰尘设计防尘网或过滤装置。仅需要设置较大的过滤网截留落叶等较大的物体即可。对居住建筑的地道而言,由于其地道截面积可能较小,因此人员无法进入地道主体,但地道进风口的竖井和进风口的过滤装置应方便人员定期进行清扫。
3.3.7、3.3.8 地道有必要设计旁通风道,方便在长期不用后,再次启用前,以通风的方式进行吹扫。吹扫时,室内送风口关闭,旁通风道打开,从而将室内吹扫后的空气经由旁通风道排出地道。有的工程不方便设置旁通风道,这时可以逆向运转轴流风机,使地道风逆向流动,由室内吸入新风,经由地道从进风口排出。由于地道内的湿度一般较高,将电机设备直接置放于地道内,对电机设备的使用寿命有影响,因此宜将电机设备放置于相对湿度较低的区域。
3.3.9 地道风运行时,用户应当能够根据体感舒适程度调节送风量,从而达到或接近用户需要的室内环境。
4 施工与验收
4.1 施 工
4.1.1 地道内的风阀长期处于潮湿的环境下,因此必须进行防腐处理。
4.1.2 为确保地道内的清洁,首先通过反向吹扫,将施工过程中的浮土、树叶等杂质吹扫至最末端(即进风口竖井下方),然后通过人工清扫清理这些杂质,确保地道清洁度。
4.1.3 本条规定是为了减少地道周边土壤的空气间隙,确保地道的结构稳定度和换热能力。
4.1.4 地道风工程竣工图为验收及将来的故障排查提供了保证。
4 施工与验收
4.1 施 工
4.1.1 地道内的风阀长期处于潮湿的环境下,因此必须进行防腐处理。
4.1.2 为确保地道内的清洁,首先通过反向吹扫,将施工过程中的浮土、树叶等杂质吹扫至最末端(即进风口竖井下方),然后通过人工清扫清理这些杂质,确保地道清洁度。
4.1.3 本条规定是为了减少地道周边土壤的空气间隙,确保地道的结构稳定度和换热能力。
4.1.4 地道风工程竣工图为验收及将来的故障排查提供了保证。
4.2 验 收
4.2.1~4.2.4 地道风工程属于农村地区的简易土建工程,为确保地道壁和周围土壤之间的换热效果,延长地道的使用寿命,本条作了相应的规定。
5 运行管理
5.0.1~5.0.3 这三条给出了地道风工程运行维护的一些简单做法。地道风工程运行时,地道内的空气品质也很重要。尽管通过合理的选址,地道内无污染物,但长期不用的情况下,仍可能滋生一些细菌或有小昆虫存在,通过最大风量吹扫,可改善地道内环境,从而提供送风空气质量。
在冬季进行2h的吹扫,是因为冬季干燥的空气经由相对温暖的地道后,会变得更加干燥,从而可以达到干燥的效果。
5.0.4 对非农村地区其他建筑中的地道风工程提出了更高的运行维护要求。
免责申明:本站所有资源均通过网络等公开合法渠道获取,该资料仅作为阅读交流使用,并无任何商业目的,其版权归作者或出版方所有,本站不对所涉及的版权问题负任何法律责任和任何赔偿,在本站咨询或购买后默认同意此免责申明;
法律责任:如版权方、出版方认为本站侵权,请立即通知本站删除,物品所标示的价格,是对本站搜集、整理、加工该资料以及本站所运营的费用支付的适当补偿,资料索取者(顾客)需尊重版权方的知识产权,切勿用于商业用途,信息;
『JGJ T351-2015』建筑玻璃膜应用技术规程
中华人民共和国行业标准建筑玻璃膜应用技术规程TechnicalspecificationforapplicationofbuildingglassfilmandcoatingJGJ/T351-2015批准部门:中华人民共和国住房和...
2025-05-19
『JGJ T399-2016』城市雕塑工程技术规程
中华人民共和国行业标准城市雕塑工程技术规程TechnicalspecificationforpublicsculptureprojectconstructionJGJ/T399-2016批准部门:中华人民共和国住房和城乡建设...
2025-05-19
『CECS334:2013』集装箱模块化组合房屋技术规程
中国工程建设协会标准集装箱模块化组合房屋技术规程TechnicalspecificationformodularfreightcontainerbuildingCECS334:2013主编单位:中国钢结构协会中国国际海运...
2025-05-19
建筑用真空绝热板应用技术规程 JGJ T 416-2017
中华人民共和国行业标准建筑用真空绝热板应用技术规程TechnicalspecifieationforapplicationofvacuuminsulationpanelsforbuildingsJGJ/T416-2017发布日期:2017年0...
2025-05-19
『JG T240-2009』建筑遮阳篷耐积水荷载试验方法
中华人民共和国建筑工业行业标准建筑遮阳篷耐积水荷载试验方法Externalblinds-Resistancetoloadduetowateraccumulation-TestmethodsJG/T240-2009发布部门:中华人民...
2025-05-19
『JGJ128-2010』建筑施工门式钢管脚手架安全技术规范
中华人民共和国行业标准建筑施工门式钢管脚手架安全技术规范TechnicalcodeforsafetyofframescaffoldingswithsteeltubulesinconstructionJGJ128-2010批准部门:中华...
2025-05-19